ГОСТ IEC 62586-2-2022 Измерение показателей качества электроэнергии в системах электропитания. Часть 2. Функциональные испытания и требования, касающиеся неопределенности
ГОСТ МЭК
Скачать ГОСТ в PDF или DOC бесплатно
Основная информация
Обозначение:
ГОСТ IEC 62586-2-2022
Статус:
Действует
Тип:
ГОСТ МЭК
Название русское:
Измерение показателей качества электроэнергии в системах электропитания. Часть 2. Функциональные испытания и требования, касающиеся неопределенности
Название английское:
Power quality measurement in power supply systems. Part 2. Functional tests and uncertainty requirements
Даты и сроки
Дата регистрации:
03-31-22
Дата издания:
09-17-24
Дата введения в действие:
09-01-25
Дата завершения срока действия:
-
Применение и описание
Область и условия применения:
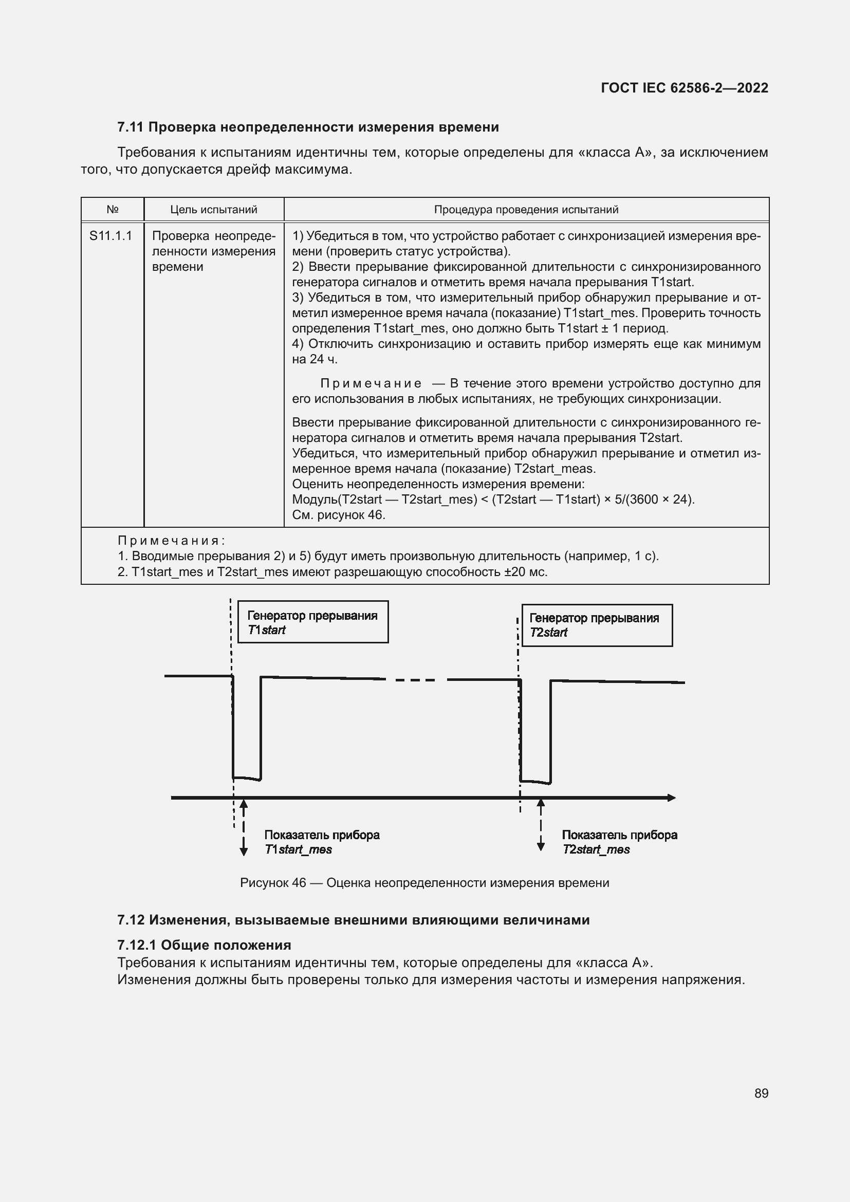
Настоящий стандарт устанавливает требования к неопределенности измерительных приборов с функциями измерения, записи и при наличии контроля параметров качества электрической энергии в системах электроснабжения, а также устанавливает требования к функциональным испытаниям таких приборов. Методы измерения измерительных приборов (класс А или класс S) установлены в IEC 61000-4-30. Настоящий стандарт применяется к измерительным приборам, определяющим качество электроэнергии согласно IEC 62586-1. Настоящий стандарт может быть ссылочным в других стандартах на продукцию (такую как цифровые аварийные регистраторы, коммерческие счетчики, реле защиты среднего и высокого напряжения), устанавливающих требования к измерительным приборам класса А или класса S с функциями контроля качества электроэнергии согласно IEC 61000-4-30. Требования устанавливаются для одно-, двух- (расщепленная фаза) и трехфазных систем электропитания переменного тока при частоте 50 или 60 Гц
Связи и замены
Заменяющий:
-
Описание стандарта
ГОСТ IEC 62586-2-2022 Измерение показателей качества электроэнергии в системах электропитания. Часть 2. Функциональные испытания и требования, касающиеся неопределенности
Страницы стандарта

































































































































