ГОСТы >
13.060.50 Исследование воды для определения содержания химических веществ >
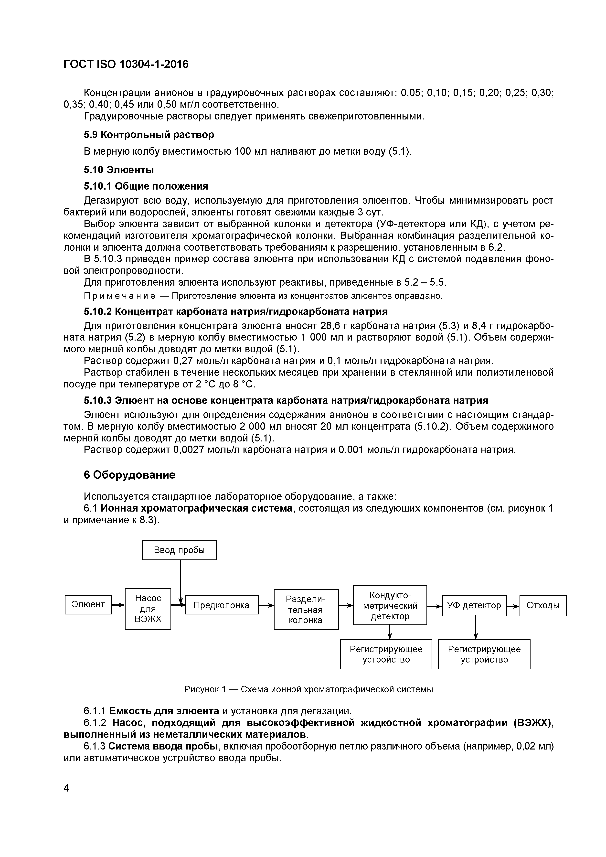
ГОСТ ISO 10304-1-2016
ГОСТ ISO 10304-1-2016 Качество воды. Определение содержания растворенных анионов методом жидкостной ионообменной хроматографии. Часть 1. Определение содержания бромидов, хлоридов, фторидов, нитратов, нитритов, фосфатов и сульфатов
ГОСТ ИСО
Основная информация
Обозначение:
ГОСТ ISO 10304-1-2016
Тип:
ГОСТ ИСО
Название русское:
Качество воды. Определение содержания растворенных анионов методом жидкостной ионообменной хроматографии. Часть 1. Определение содержания бромидов, хлоридов, фторидов, нитратов, нитритов, фосфатов и сульфатов
Даты и сроки
Дата введения в действие:
04-01-17
Описание стандарта
ГОСТ ISO 10304-1-2016 Качество воды. Определение содержания растворенных анионов методом жидкостной ионообменной хроматографии. Часть 1. Определение содержания бромидов, хлоридов, фторидов, нитратов, нитритов, фосфатов и сульфатов
Страницы стандарта



















