ГОСТ ISO 11666-2024 Неразрушающий контроль сварных соединений. Ультразвуковой контроль. Уровни приемки
ГОСТ ИСО
Скачать ГОСТ в PDF или DOC бесплатно
Основная информация
Обозначение:
ГОСТ ISO 11666-2024
Статус:
Действует
Тип:
ГОСТ ИСО
Название русское:
Неразрушающий контроль сварных соединений. Ультразвуковой контроль. Уровни приемки
Название английское:
Non-destructive testing of welded joints. Ultrasonic testing. Acceptance levels
Даты и сроки
Дата регистрации:
01-31-24
Дата издания:
03-14-24
Дата введения в действие:
05-01-24
Дата завершения срока действия:
-
Применение и описание
Область и условия применения:
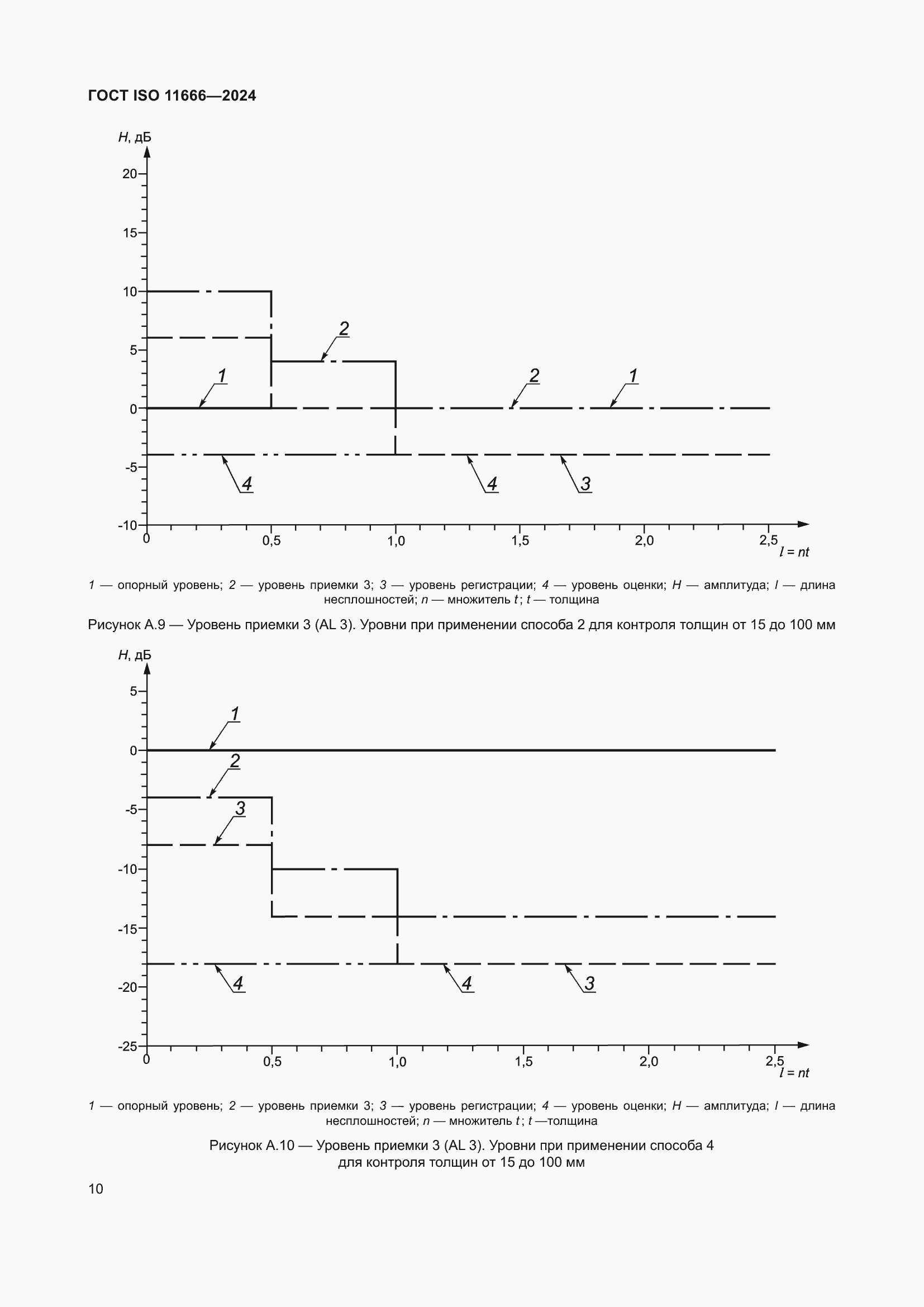
Настоящий стандарт устанавливает уровень приемки 2 (AL 2) и уровень приемки 3 (AL 3) для ультразвукового контроля (УЗК) сварных соединений с полным проплавлением изделий из ферритных сталей, соответствующих уровням качества В и С по ISO 5817:2014. Настоящий стандарт не применим к уровням приемки сварных соединений, соответствующих уровню качества D по ISO 5817:2014, так как для оценки качества таких сварных соединений УЗК не требуется. Указанные уровни приемки применимы при УЗК, выполняемом в соответствии с ISO 17640
Связи и замены
Заменяющий:
-
Описание стандарта
ГОСТ ISO 11666-2024 Неразрушающий контроль сварных соединений. Ультразвуковой контроль. Уровни приемки
Страницы стандарта





















Приложение №1: Поправка к ГОСТ ISO 11666-2024 Обозначение: Поправка к ГОСТ ISO 11666-2024 Дата введения в действие: 10.10.2024
