ГОСТ ISO 13528-2024 Статистические методы. Применение при проверке квалификации посредством межлабораторного сличения
ГОСТ ИСО
Скачать ГОСТ в PDF или DOC бесплатно
Основная информация
Обозначение:
ГОСТ ISO 13528-2024
Статус:
Действует
Тип:
ГОСТ ИСО
Название русское:
Статистические методы. Применение при проверке квалификации посредством межлабораторного сличения
Название английское:
Statistical methods. Use in proficiency testing by interlaboratory comparison
Даты и сроки
Дата регистрации:
12-27-24
Дата издания:
02-24-25
Дата введения в действие:
01-01-26
Дата завершения срока действия:
-
Применение и описание
Область и условия применения:
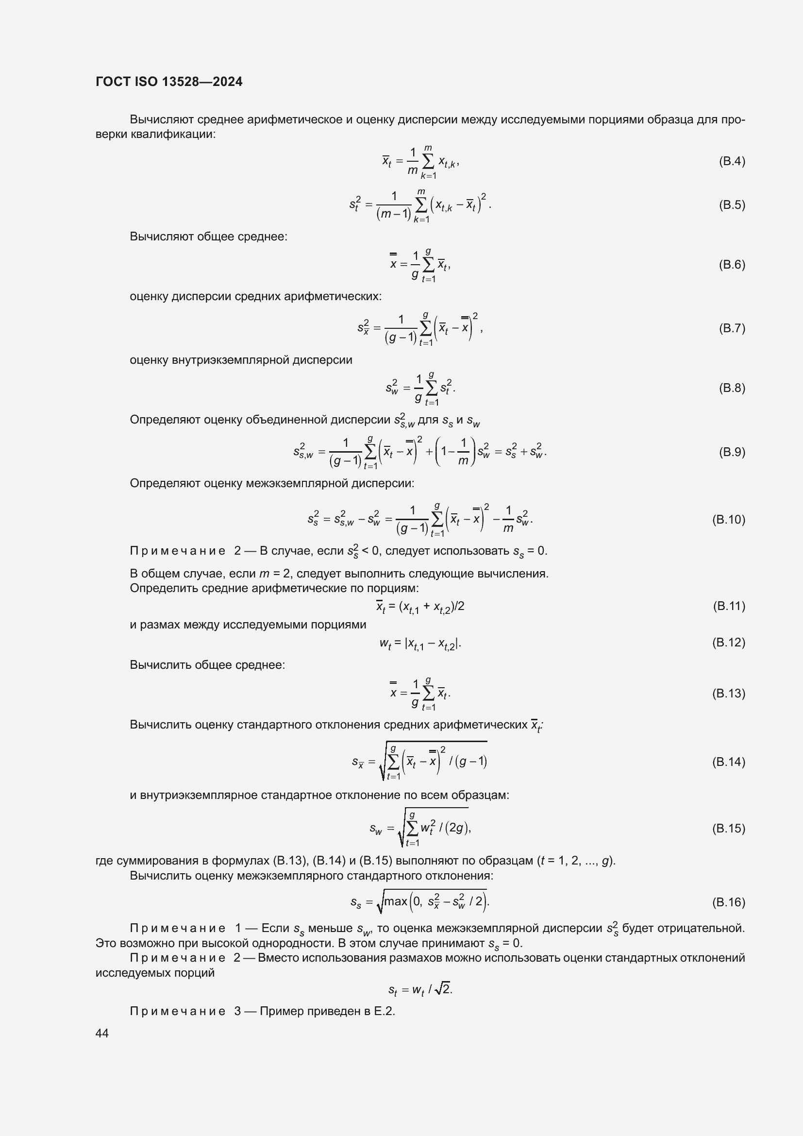
В настоящем стандарте приведено детальное описание статистических методов, которые провайдеры проверки квалификации могут использовать для разработки программ проверки квалификации и анализа данных, полученных в результате реализации этих программ. Настоящий стандарт включает рекомендации по интерпретации данных проверки квалификации, представленных участниками таких программ и органами по аккредитации. Процедуры, описанные в настоящем стандарте, могут быть применены для демонстрации того, что результаты измерений, полученные лабораториями, контролирующими органами и физическими лицами, соответствуют указанным критериям приемлемого функционирования. Настоящий стандарт применим к проверке квалификации, когда сообщаемые результаты являются либо количественными результатами измерений, либо качественными наблюдениями за исследуемыми образцами
Связи и замены
Заменяющий:
-
Описание стандарта
ГОСТ ISO 13528-2024 Статистические методы. Применение при проверке квалификации посредством межлабораторного сличения
Страницы стандарта

























































































