ГОСТ ISO 20295-2023 Качество почвы. Определение содержания перхлората в почве методом ионной хроматографии
ГОСТ ИСО
Скачать ГОСТ в PDF или DOC бесплатно
Основная информация
Обозначение:
ГОСТ ISO 20295-2023
Статус:
Действует
Тип:
ГОСТ ИСО
Название русское:
Качество почвы. Определение содержания перхлората в почве методом ионной хроматографии
Название английское:
Soil quality. Determination of perchlorate in soil using ion chromatography
Даты и сроки
Дата регистрации:
05-31-23
Дата издания:
09-13-23
Дата введения в действие:
07-01-24
Дата завершения срока действия:
-
Применение и описание
Область и условия применения:
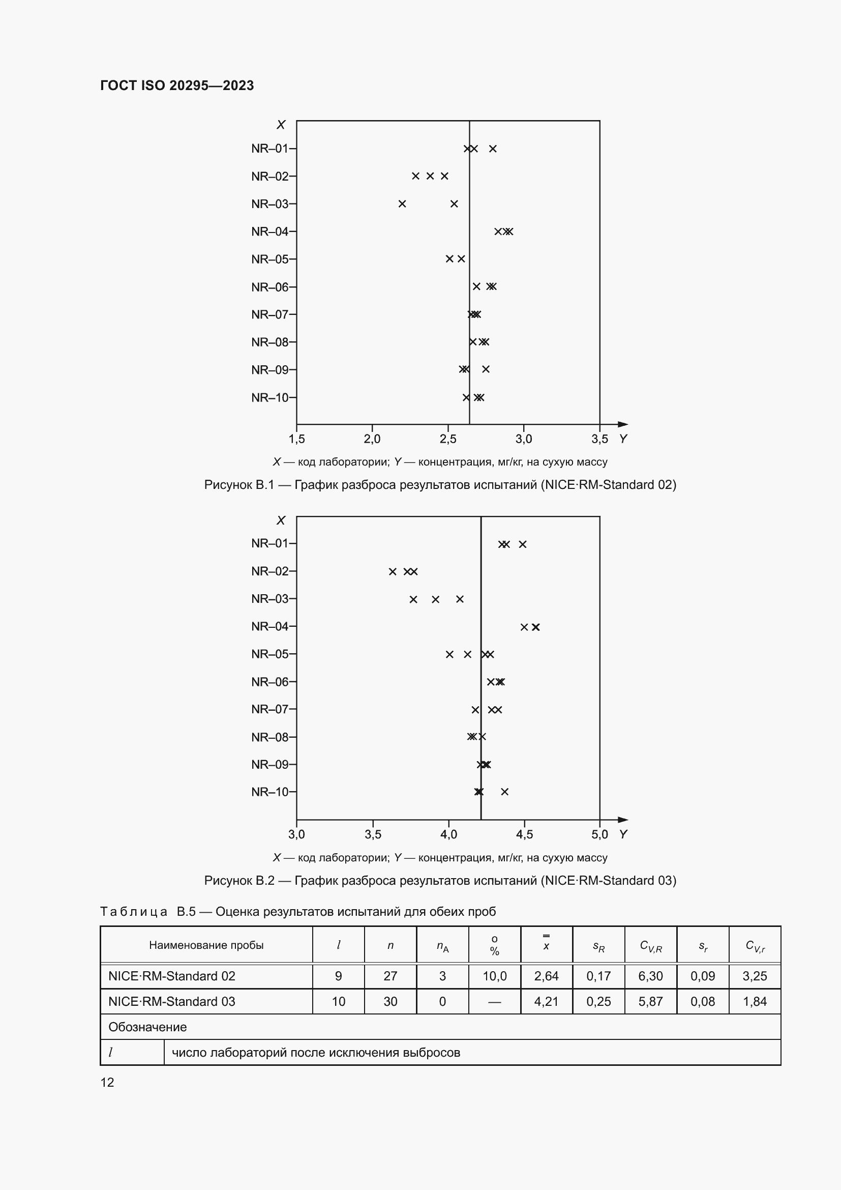
Настоящий стандарт устанавливает метод определения перхлората в почве и почвенных смесях. При условиях, установленных в настоящем стандарте, можно определить такую низкую концентрацию перхлората, как 0,1 мг/кг. Рабочий диапазон ограничен ионообменной способностью разделительной колонки. Может потребоваться разбавление водных экстрактов до рабочего диапазона
Связи и замены
Заменяющий:
-
Описание стандарта
ГОСТ ISO 20295-2023 Качество почвы. Определение содержания перхлората в почве методом ионной хроматографии
Страницы стандарта



























