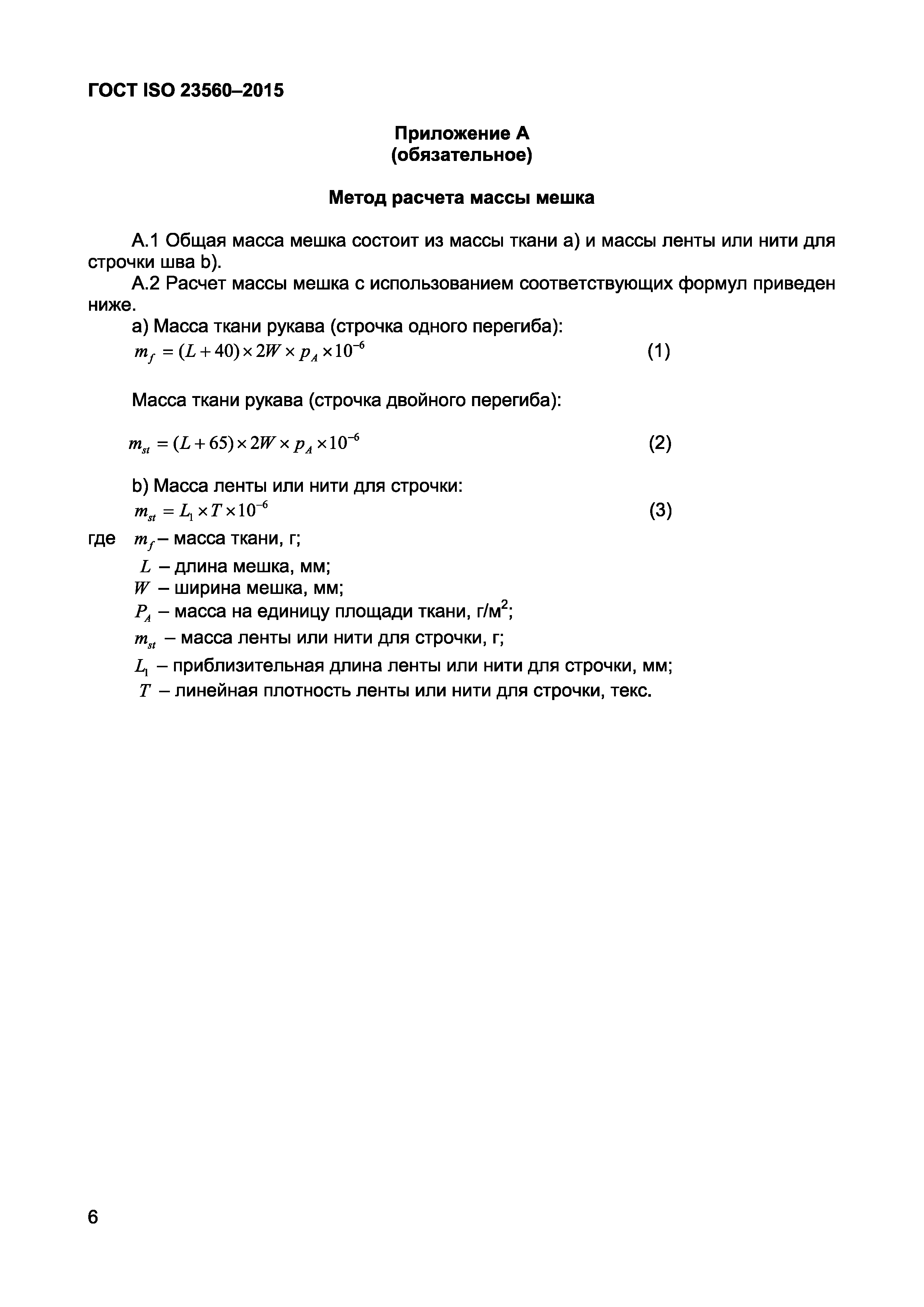
ГОСТ ISO 23560-2015 Мешки тканевые полипропиленовые для упаковки сыпучих пищевых продуктов. Технические требования
ГОСТ ИСО
Основная информация
Обозначение:
ГОСТ ISO 23560-2015
Тип:
ГОСТ ИСО
Название русское:
Мешки тканевые полипропиленовые для упаковки сыпучих пищевых продуктов. Технические требования
Даты и сроки
Дата введения в действие:
12-10-15
Описание стандарта
ГОСТ ISO 23560-2015 Мешки тканевые полипропиленовые для упаковки сыпучих пищевых продуктов. Технические требования
Страницы стандарта














