ГОСТ ISO 24443-2016 Продукция косметическая солнцезащитная. Метод определения in vitro величины защитного фактора от ультрафиолетового излучения спектра А
ГОСТ ИСО
Скачать ГОСТ в PDF или DOC бесплатно
Основная информация
Обозначение:
ГОСТ ISO 24443-2016
Статус:
Действует
Тип:
ГОСТ ИСО
Название русское:
Продукция косметическая солнцезащитная. Метод определения in vitro величины защитного фактора от ультрафиолетового излучения спектра А
Название английское:
Products cosmetic sun protection. Determination of value sunscreen UVA protection factor in vitro
Даты и сроки
Дата регистрации:
07-27-16
Дата издания:
02-15-24
Дата введения в действие:
01-01-25
Дата завершения срока действия:
-
Применение и описание
Область и условия применения:
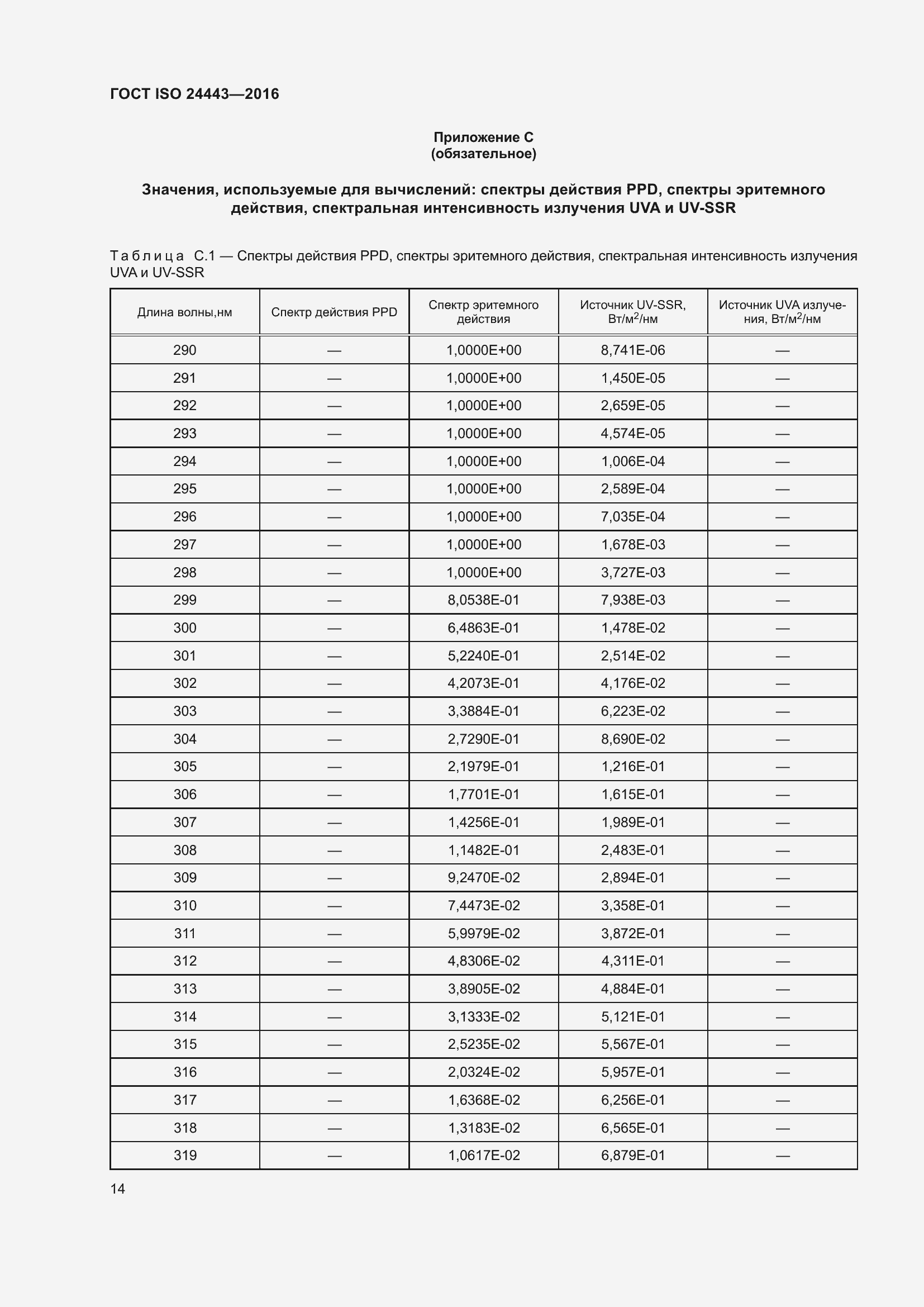
Настоящий стандарт устанавливает метод (in vitro) определения величины защитного фактора от ультрафиолетового излучения спектра А (UVA излучения) солнцезащитной продукции. Метод настоящего стандарта позволяет получить кривую спектрального поглощения, с помощью которой можно провести ряд вычислений и оценок. Они включают определение защитного фактора от ультрафиолетовых лучей спектра А (UVAPF) [который коррелируется с UVAPF, полученным методом (in vivo) «стойкого потемнения пигмента» (PPD)], критической длины волны и линейной зависимости UVA поглощения. Определение данных показателей требуется в том случае, если это предусмотрено национальным законодательством по маркировке солнцезащитной продукции
Связи и замены
Заменяющий:
-
Описание стандарта
ГОСТ ISO 24443-2016 Продукция косметическая солнцезащитная. Метод определения in vitro величины защитного фактора от ультрафиолетового излучения спектра А
Страницы стандарта



























