ГОСТ ISO 3183-2012 Трубы стальные для трубопроводов нефтяной и газовой промышленности. Общие технические условия
ГОСТ ИСО
Скачать ГОСТ в PDF или DOC бесплатно
Основная информация
Обозначение:
ГОСТ ISO 3183-2012
Статус:
Заменен
Тип:
ГОСТ ИСО
Название русское:
Трубы стальные для трубопроводов нефтяной и газовой промышленности. Общие технические условия
Название английское:
Steel pipes for pipelines of petroleum and natural gas industries. General specifications
Даты и сроки
Дата регистрации:
03-15-12
Дата издания:
10-16-13
Дата введения в действие:
01-01-14
Дата завершения срока действия:
06-01-16
Применение и описание
Область и условия применения:
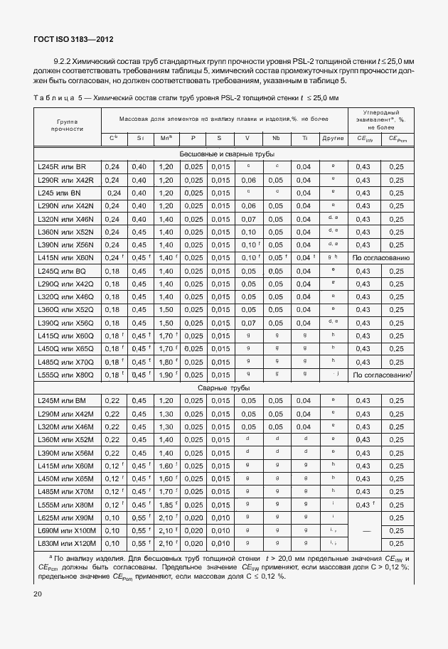
Настоящий стандарт устанавливает требования к бесшовным и сварным стальным трубам по двум уровням требований к продукции (PSL-1 и PSL-2), предназначенным для трубопроводов нефтяной и газовой промышленности. Настоящий стандарт неприменим к литым трубам
Связи и замены
Заменяющий:
ГОСТ ISO 3183-2015
Описание стандарта
ГОСТ ISO 3183-2012 Трубы стальные для трубопроводов нефтяной и газовой промышленности. Общие технические условия
Страницы стандарта

























































































































