ГОСТ ISO 5802-2012 Вентиляторы промышленные. Испытания в условиях эксплуатации
ГОСТ ИСО
Скачать ГОСТ в PDF или DOC бесплатно
Основная информация
Обозначение:
ГОСТ ISO 5802-2012
Статус:
Действует
Тип:
ГОСТ ИСО
Название русское:
Вентиляторы промышленные. Испытания в условиях эксплуатации
Название английское:
Industrial fans. Performance testing in situ
Даты и сроки
Дата регистрации:
12-03-12
Дата издания:
11-10-14
Дата введения в действие:
07-01-14
Дата завершения срока действия:
-
Применение и описание
Область и условия применения:
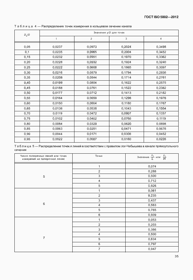
Настоящий стандарт устанавливает методы испытаний для определения одной или более аэродинамических характеристик промышленных вентиляторов, эксплуатируемых в натурных условиях при работе в однофазной среде
Связи и замены
Заменяющий:
-
Описание стандарта
ГОСТ ISO 5802-2012 Вентиляторы промышленные. Испытания в условиях эксплуатации
Страницы стандарта





































































