ГОСТ Р 25645.160-94 Модель электромагнитной обстановки в околоземном пространстве
ГОСТ Р
Скачать ГОСТ в PDF или DOC бесплатно
Основная информация
Обозначение:
ГОСТ Р 25645.160-94
Статус:
Действует
Тип:
ГОСТ Р
Название русское:
Модель электромагнитной обстановки в околоземном пространстве
Название английское:
Model of electromagnetic situation in near-earth space
Даты и сроки
Дата издания:
02-01-95
Дата введения в действие:
06-30-95
Дата завершения срока действия:
-
Применение и описание
Область и условия применения:
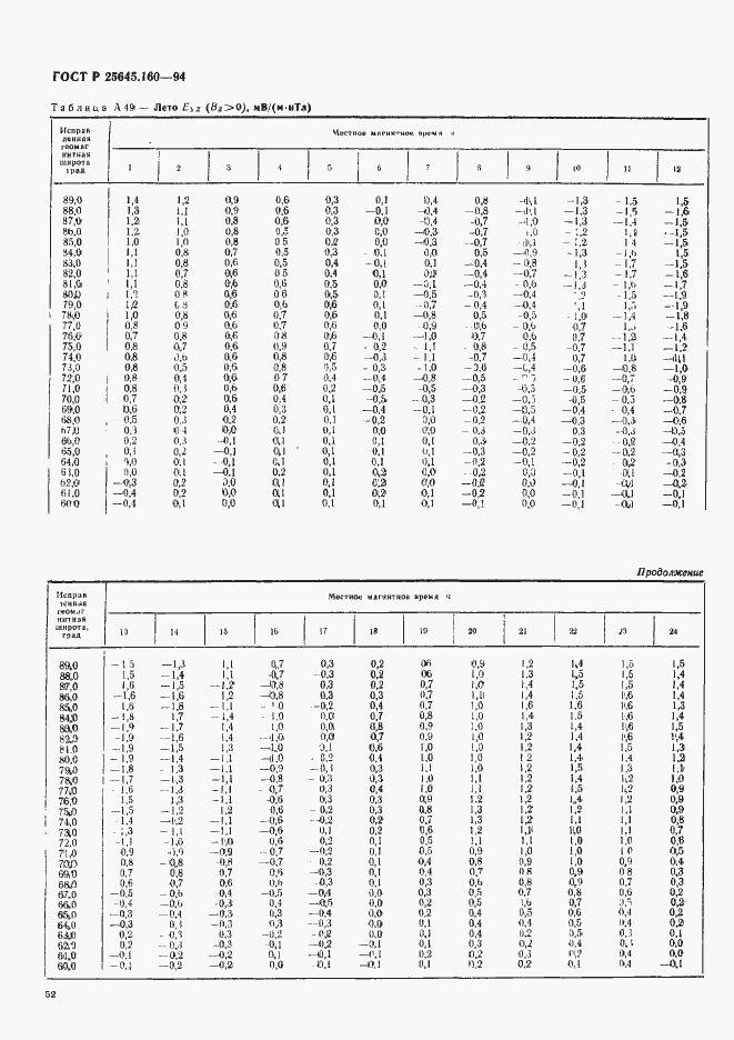
Настоящий стандарт устанавливает модель распределения средних значений компонентов векторов электрического поля и продольного тока в высоких широтах на высоте слоя E ионосферы для любого времени суток, различных сезонов года и для различных условий в межпланетном магнитном поле. Стандарт предназначен для оценки электромагнитного состояния магнитосферы Земли, а также для оценки воздействия электрического поля на параметры ионосферы и технические устройства, функционирующие в околоземном пространстве. Стандарт не распространяется на периоды магнитосферных суббурь и бурь
Связи и замены
Заменяющий:
-
Описание стандарта
ГОСТ Р 25645.160-94 Модель электромагнитной обстановки в околоземном пространстве
Страницы стандарта




























































