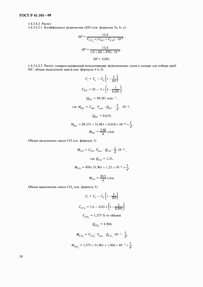
ГОСТ Р 41.101-99 Единообразные предписания, касающиеся официального утверждения легковых автомобилей, оборудованных двигателем внутреннего сгорания, в отношении измерения объема выбросов двуокиси углерода и расхода топлива, а также транспортных средств категорий M1 и N1, оборудованных электроприводом в отношении измерения расхода электроэнергии и запаса хода
ГОСТ Р
Скачать ГОСТ в PDF или DOC бесплатно
Основная информация
Обозначение:
ГОСТ Р 41.101-99
Статус:
Отменен
Тип:
ГОСТ Р
Название русское:
Единообразные предписания, касающиеся официального утверждения легковых автомобилей, оборудованных двигателем внутреннего сгорания, в отношении измерения объема выбросов двуокиси углерода и расхода топлива, а также транспортных средств категорий M1 и N1, оборудованных электроприводом в отношении измерения расхода электроэнергии и запаса хода
Название английское:
Uniform provisions concerning the approval of passenger cars equipped with an intrnal combustion engine with regard to the measurement of the emission of carbon dioxide and fuel consumption and of categories M1 and N1 vehicles equipped with an electric power train with regard to the measurement of electric energy consumption and range
Даты и сроки
Дата издания:
02-05-01
Дата введения в действие:
07-01-00
Дата завершения срока действия:
09-01-18
Применение и описание
Область и условия применения:
Настоящие Правила применяются к процедурам измерения выбросов диоксида углерода (СО2) и расхода топлива транспортными средствами категории M1 или измерения расхода электроэнергии транспортными средствами категории M1 и N1 и их запаса хода
Связи и замены
Заменяющий:
-
Изменения и переиздания
Список изменений:
№0 от (рег. ) «Текстовое изменение; Изменено заглавие»
Описание стандарта
ГОСТ Р 41.101-99 Единообразные предписания, касающиеся официального утверждения легковых автомобилей, оборудованных двигателем внутреннего сгорания, в отношении измерения объема выбросов двуокиси углерода и расхода топлива, а также транспортных средств категорий M1 и N1, оборудованных электроприводом в отношении измерения расхода электроэнергии и запаса хода
Страницы стандарта








































