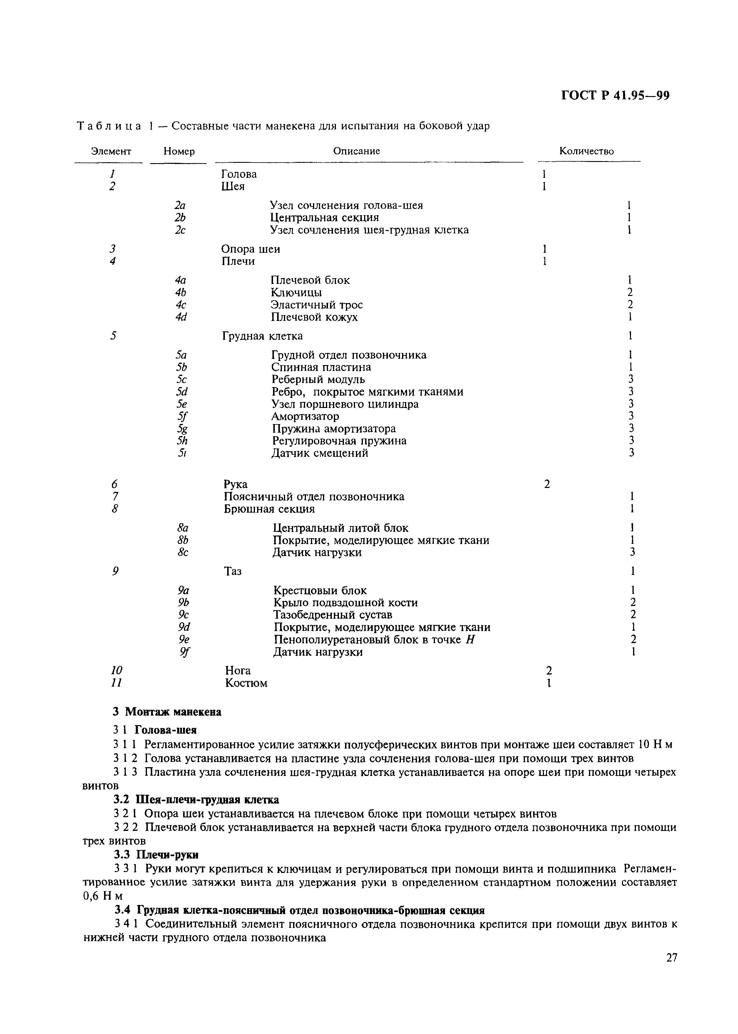
ГОСТ Р 41.95-99 Единообразные предписания, касающиеся официального утверждения транспортных средств в отношении защиты водителя и пассажиров в случае бокового столкновения
ГОСТ Р
Скачать ГОСТ в PDF или DOC бесплатно
Основная информация
Обозначение:
ГОСТ Р 41.95-99
Статус:
Заменен
Тип:
ГОСТ Р
Название русское:
Единообразные предписания, касающиеся официального утверждения транспортных средств в отношении защиты водителя и пассажиров в случае бокового столкновения
Название английское:
Uniform provisions concerning the approval of vehicles with regard to the protection of the occupants in the event of a lateral collision
Даты и сроки
Дата издания:
01-25-01
Дата введения в действие:
07-01-00
Дата завершения срока действия:
07-01-06
Применение и описание
Область и условия применения:
Настоящие Правила применяются к поведению конструкции салона транспортных средствкатегорий M1 и N1, на которых точка R самого низкого сиденья находится на высоте не более 700 мм над поверхностью земли, в случае бокового столкновения, когда транспортное средство находится в таком техническом состоянии, в котором его масса соответствует контрольной массе, определение которой приведено в 2.10 настоящих Правил
Связи и замены
Заменяющий:
ГОСТ Р 41.95-2005
Описание стандарта
ГОСТ Р 41.95-99 Единообразные предписания, касающиеся официального утверждения транспортных средств в отношении защиты водителя и пассажиров в случае бокового столкновения
Страницы стандарта








































