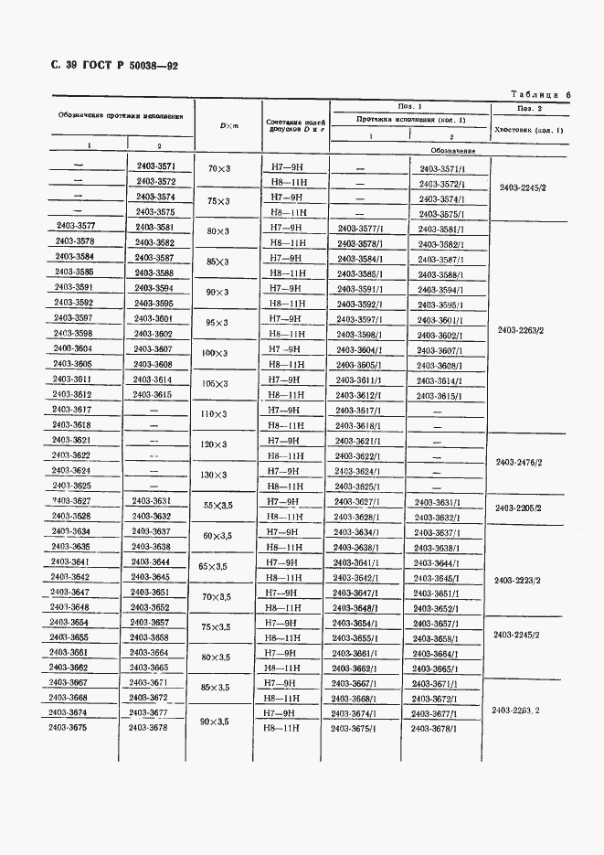
ГОСТ Р 50038-92 Протяжки с навертным хвостовиком для шлицевых отверстий с эвольвентным профилем диаметром от 55 до 130 мм, модулем от 3 до 5 мм с центрированием по наружному диаметру комбинированные двухпроходные. Конструкция
ГОСТ Р
Скачать ГОСТ в PDF или DOC бесплатно
Основная информация
Обозначение:
ГОСТ Р 50038-92
Статус:
Действует
Тип:
ГОСТ Р
Название русское:
Протяжки с навертным хвостовиком для шлицевых отверстий с эвольвентным профилем диаметром от 55 до 130 мм, модулем от 3 до 5 мм с центрированием по наружному диаметру комбинированные двухпроходные. Конструкция
Название английское:
Combined broaches with diameter from 55 to 130 mm for slitting holes with involute profile with wind round tail and centring at outside dimeter with modul from 3 to 5. Construction
Даты и сроки
Дата издания:
11-17-92
Дата введения в действие:
01-01-93
Дата завершения срока действия:
-
Применение и описание
Область и условия применения:
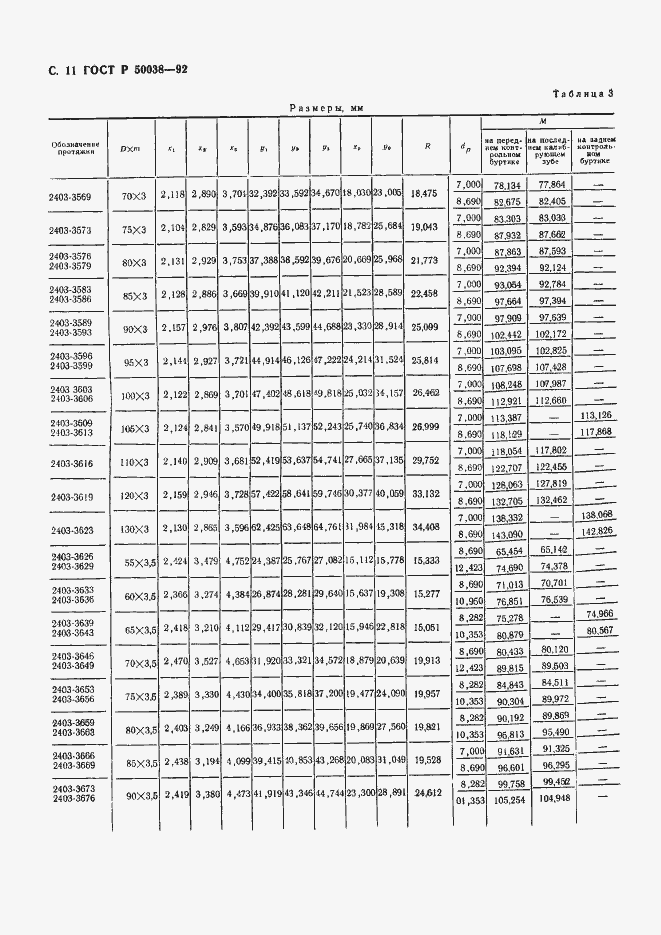
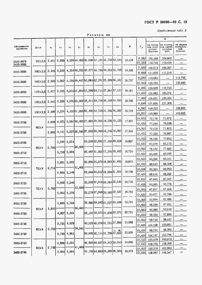
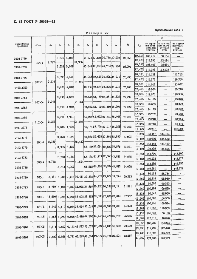
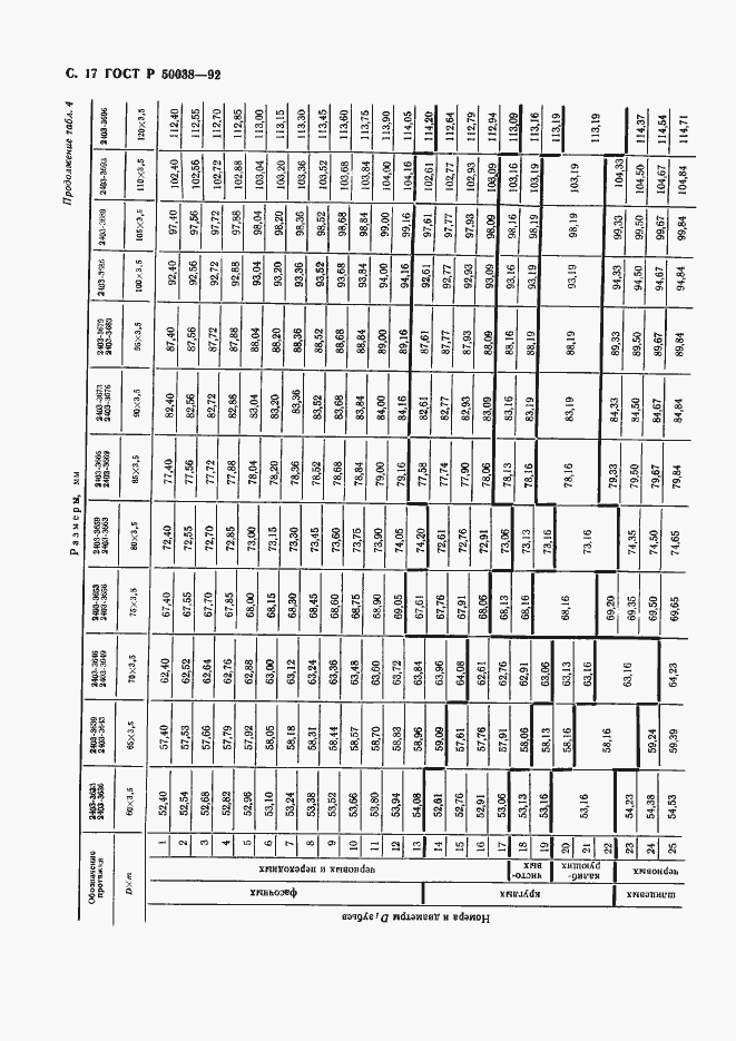
Настоящий стандарт распространяется на комбинированные двухпроходные протяжки универсального назначения с навертным хвостовиком диаметром D от 55 до 130 мм, модулем m от 3 до 5 мм, предназначенные для обработки шлицевых втулок с эвольвентным профилем по ГОСТ 6033 с центрированием по наружному диаметру
Связи и замены
Заменяющий:
-
Описание стандарта
ГОСТ Р 50038-92 Протяжки с навертным хвостовиком для шлицевых отверстий с эвольвентным профилем диаметром от 55 до 130 мм, модулем от 3 до 5 мм с центрированием по наружному диаметру комбинированные двухпроходные. Конструкция
Страницы стандарта


















































































