ГОСТ Р 53769-2010 Кабели силовые с пластмассовой изоляцией на номинальное напряжение 0,66; 1 и 3 кВ. Общие технические условия
ГОСТ Р
Скачать ГОСТ в PDF или DOC бесплатно
Основная информация
Обозначение:
ГОСТ Р 53769-2010
Статус:
Отменен
Тип:
ГОСТ Р
Название русское:
Кабели силовые с пластмассовой изоляцией на номинальное напряжение 0,66; 1 и 3 кВ. Общие технические условия
Название английское:
Рower cables with plastic insulation for rated voltages of 0,66; 1 and 3 kV. General specifications
Даты и сроки
Дата издания:
04-19-10
Дата введения в действие:
01-01-11
Дата завершения срока действия:
01-01-14
Применение и описание
Область и условия применения:
Настоящий стандарт распространяется на силовые кабели с пластмассовой изоляцией (далее – кабели), предназначенные для передачи и распределения электрической энергии в стационарных установках на номинальное переменное напряжение 0,66; 1 и 3 кВ номинальной частотой 50 Гц. Стандарт устанавливает основные требования к конструкциям и техническим характеристикам кабелей, их эксплуатационные свойства и методы контроля
Приложение №3:
Изменение №1 к ГОСТ Р 53769-2010 Обозначение: Изменение №1 к ГОСТ Р 53769-2010 Дата введения в действие: 01.01.2013
Связи и замены
Заменяющий:
-
Изменения и переиздания
Список изменений:
№0 от (рег. ) «Утратил силу в РФ» №0 от (рег. ) «Дата введения перенесена» №0 от (рег. ) «Текстовое изменение; Изменено заглавие» №1 от (рег. ) «Срок действия продлен»
Описание стандарта
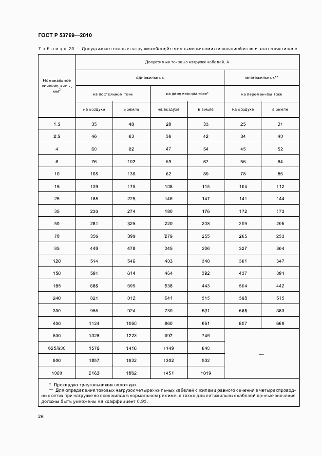
ГОСТ Р 53769-2010 Кабели силовые с пластмассовой изоляцией на номинальное напряжение 0,66; 1 и 3 кВ. Общие технические условия
Страницы стандарта










































Приложение №3: Изменение №1 к ГОСТ Р 53769-2010 Обозначение: Изменение №1 к ГОСТ Р 53769-2010 Дата введения в действие: 01.01.2013

Приложение №4: Поправка к ГОСТ Р 53769-2010 Обозначение: Поправка к ГОСТ Р 53769-2010 Дата введения в действие: 26.04.2011

Приложение №5: Поправка к ГОСТ Р 53769-2010 Обозначение: Поправка к ГОСТ Р 53769-2010 Дата введения в действие: 25.04.2011
