ГОСТ Р 54322-2011 Техника авиационная. Хомуты зажимные симметричные с обкладкой и лентой металлизации. Конструкция
ГОСТ Р
Скачать ГОСТ в PDF или DOC бесплатно
Основная информация
Обозначение:
ГОСТ Р 54322-2011
Статус:
Действует
Тип:
ГОСТ Р
Название русское:
Техника авиационная. Хомуты зажимные симметричные с обкладкой и лентой металлизации. Конструкция
Название английское:
Aircraft. Symmetric clamps with liner and bonding strip. Design
Даты и сроки
Дата издания:
11-11-19
Дата введения в действие:
01-01-12
Применение и описание
Область и условия применения:
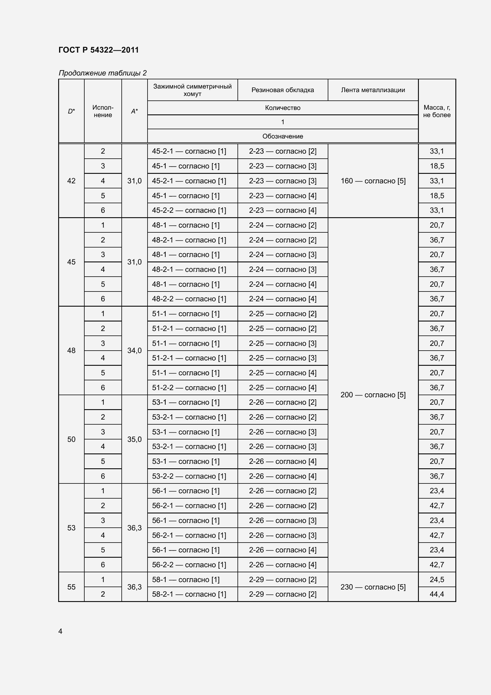
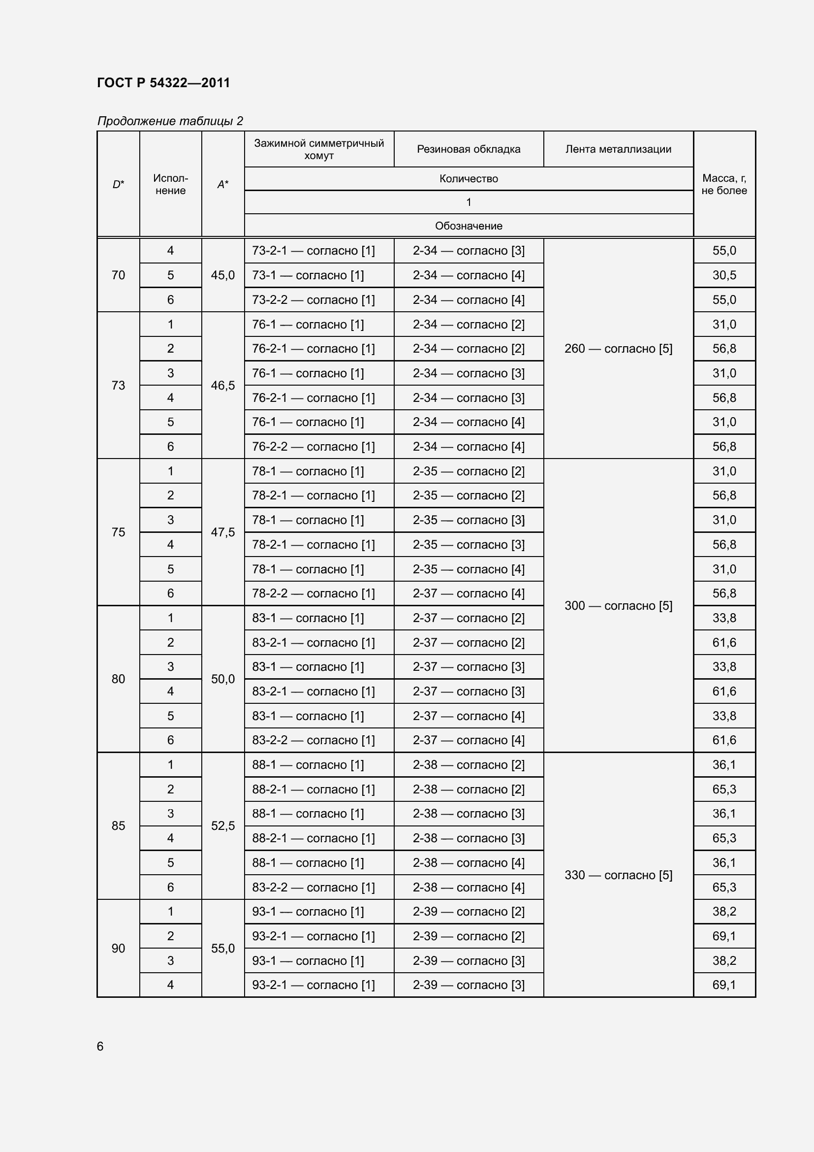
Настоящий стандарт распространяется на зажимные симметричные хомуты с обкладкой и лентой металлизации, предназначенные для крепления трубопроводов и электрожгутов
Описание стандарта
ГОСТ Р 54322-2011 Техника авиационная. Хомуты зажимные симметричные с обкладкой и лентой металлизации. Конструкция
Страницы стандарта











