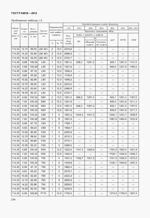
ГОСТ Р 54918-2012 Трубы обсадные, насосно-компрессорные, бурильные и трубы для трубопроводов нефтяной и газовой промышленности. Формулы и расчет свойств
ГОСТ Р
Скачать ГОСТ в PDF или DOC бесплатно
Основная информация
Обозначение:
ГОСТ Р 54918-2012
Статус:
Отменен
Тип:
ГОСТ Р
Название русское:
Трубы обсадные, насосно-компрессорные, бурильные и трубы для трубопроводов нефтяной и газовой промышленности. Формулы и расчет свойств
Название английское:
Casing, tubing, drill and line pipes for petroleum and natural gas industries. Equаtion and calculation of properties
Даты и сроки
Дата издания:
07-10-14
Дата введения в действие:
10-01-13
Дата завершения срока действия:
12-01-23
Применение и описание
Область и условия применения:
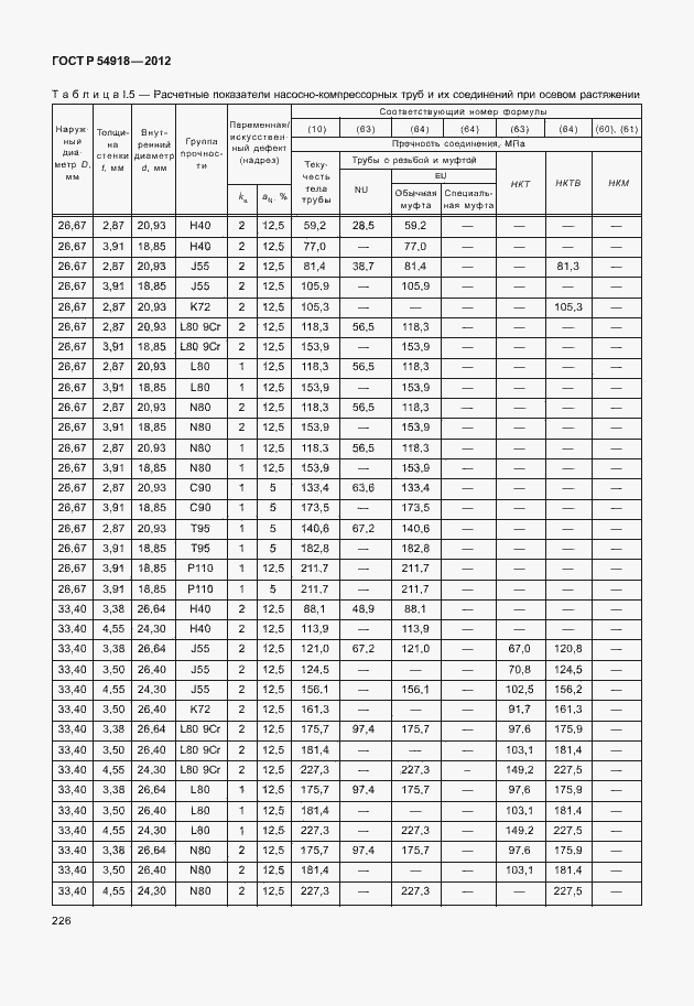
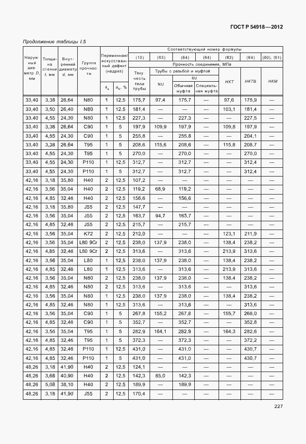
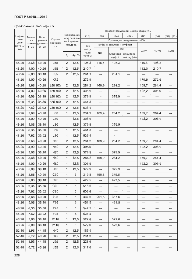
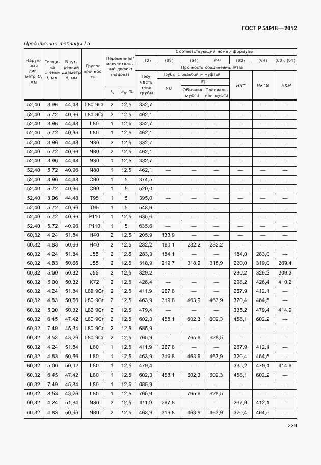
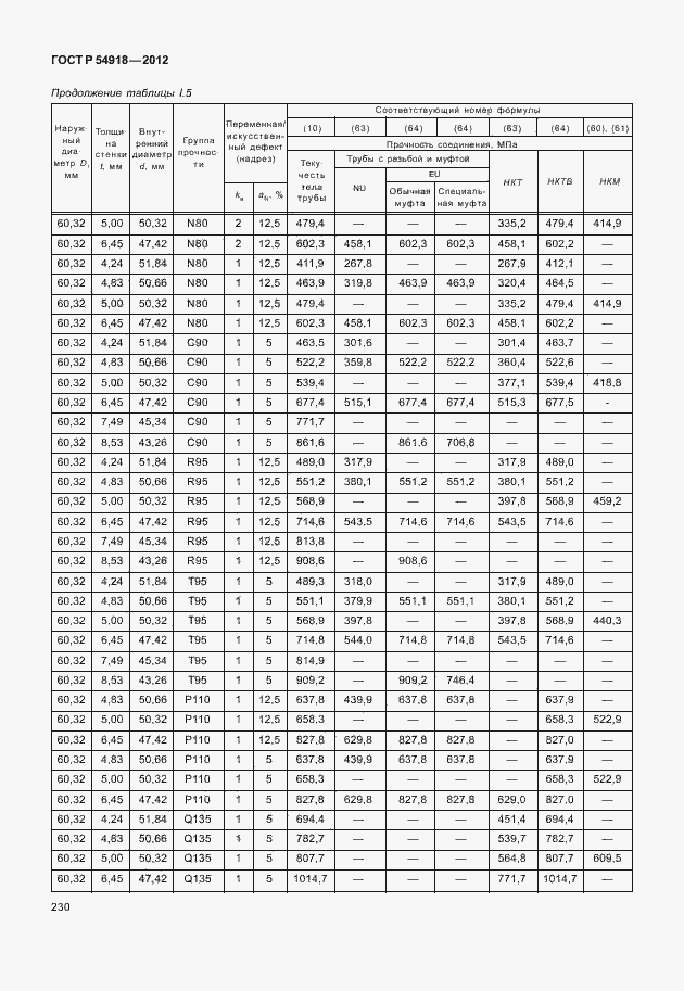
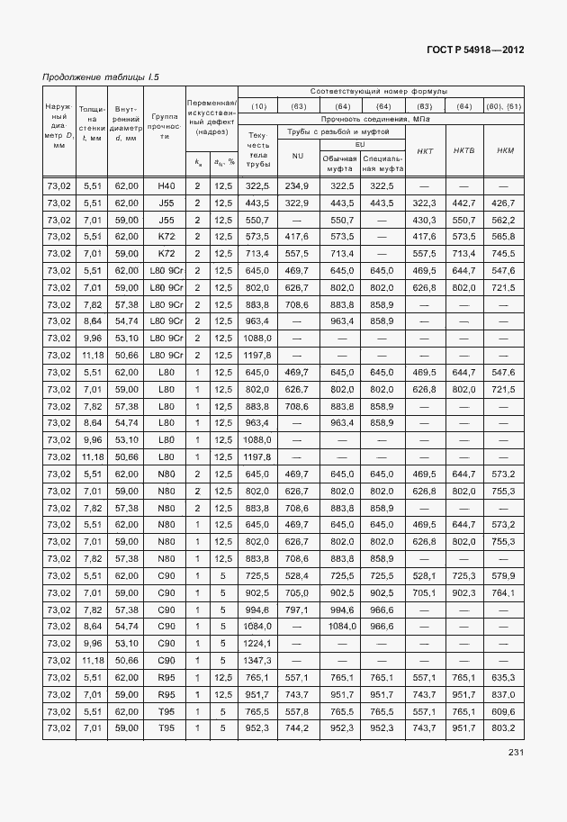
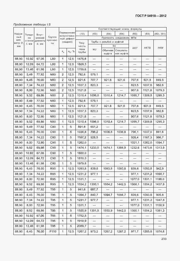
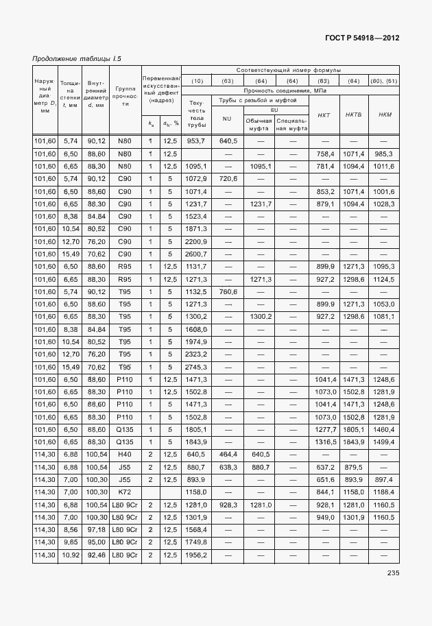
Настоящий стандарт распространяется на обсадные, насосно-компрессорные и бурильные трубы для нефтяной и газовой промышленности, а также на трубы для трубопроводов, применяемые в качестве обсадных и насосно-компрессорных труб
Связи и замены
Заменяющий:
-
Описание стандарта
ГОСТ Р 54918-2012 Трубы обсадные, насосно-компрессорные, бурильные и трубы для трубопроводов нефтяной и газовой промышленности. Формулы и расчет свойств
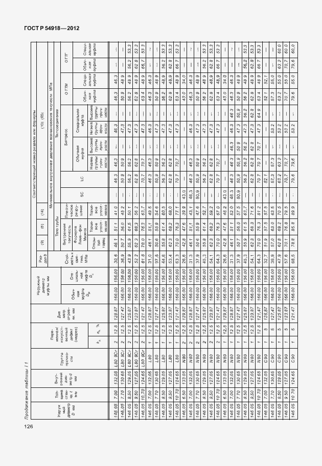
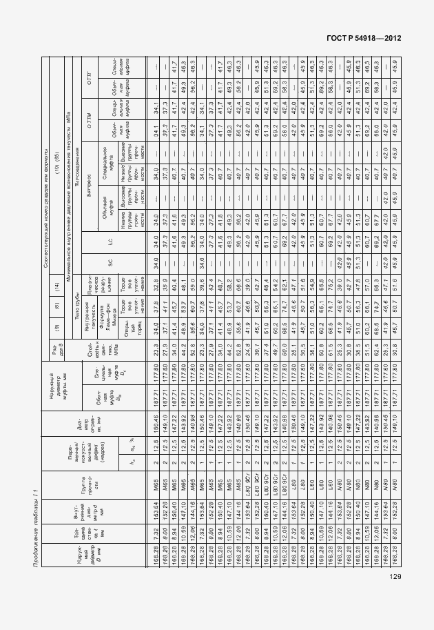
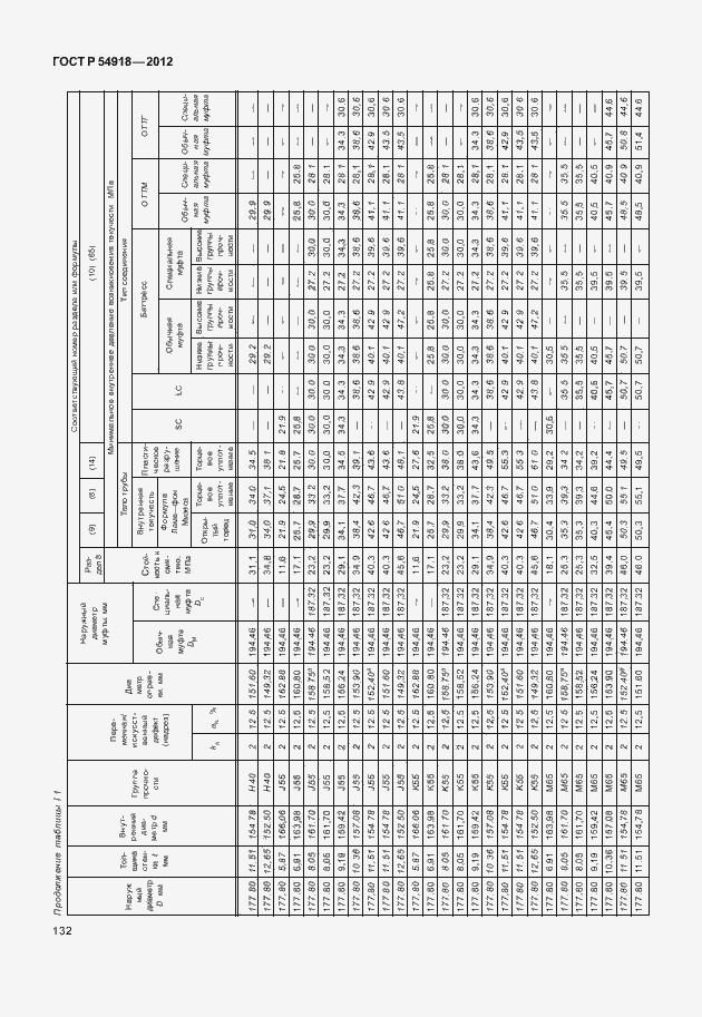
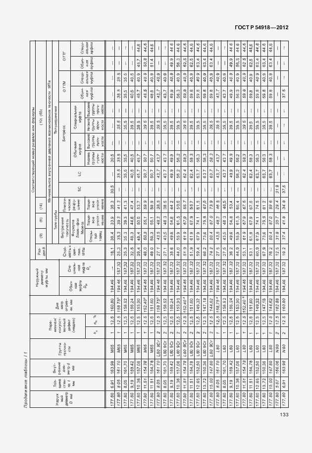
Страницы стандарта




































































































































































































































































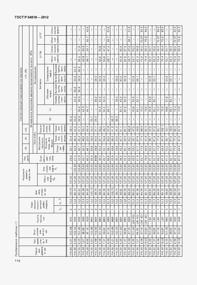
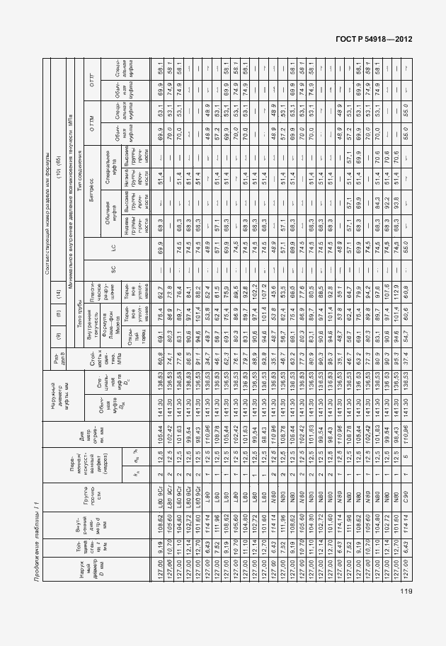
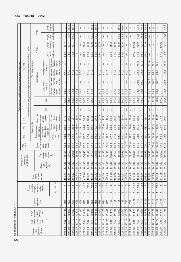
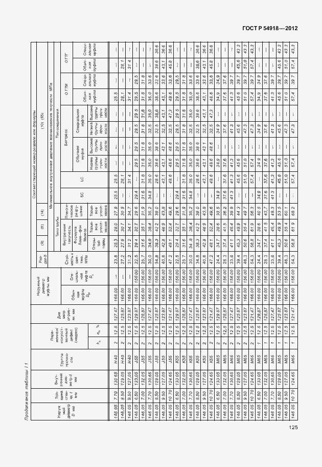
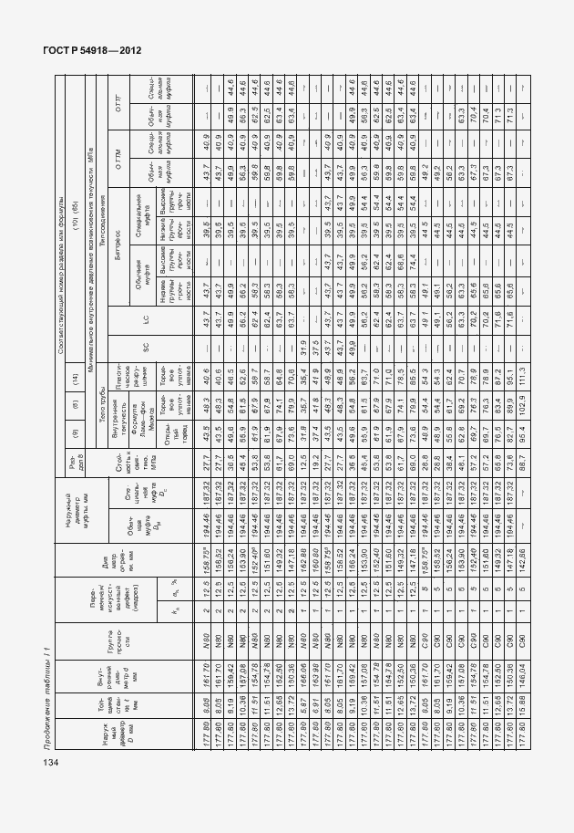
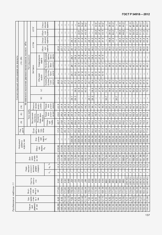
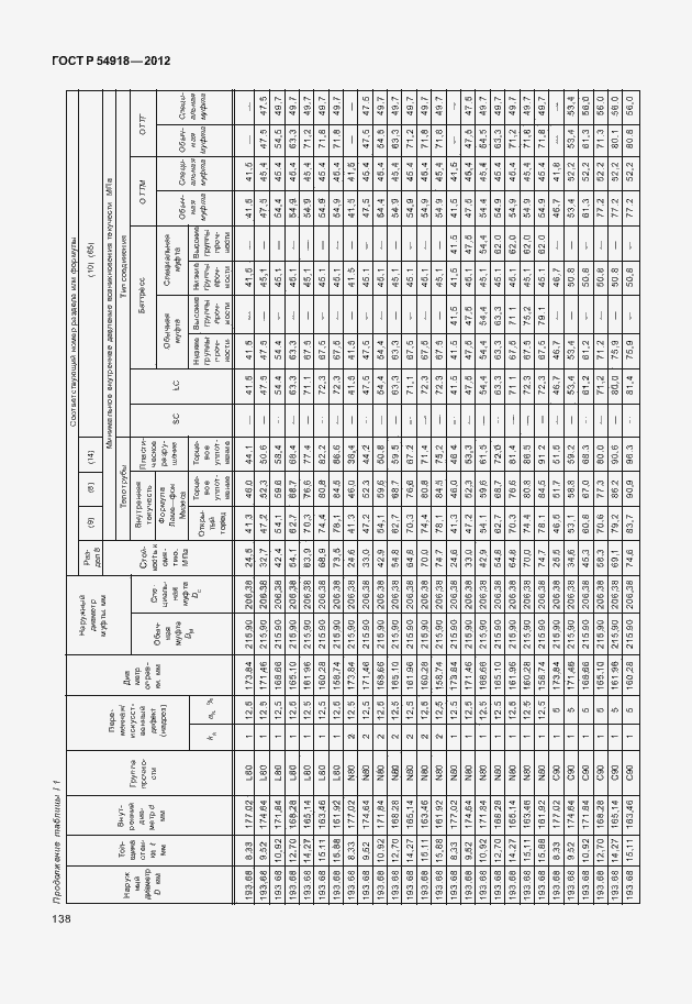
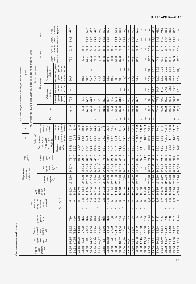
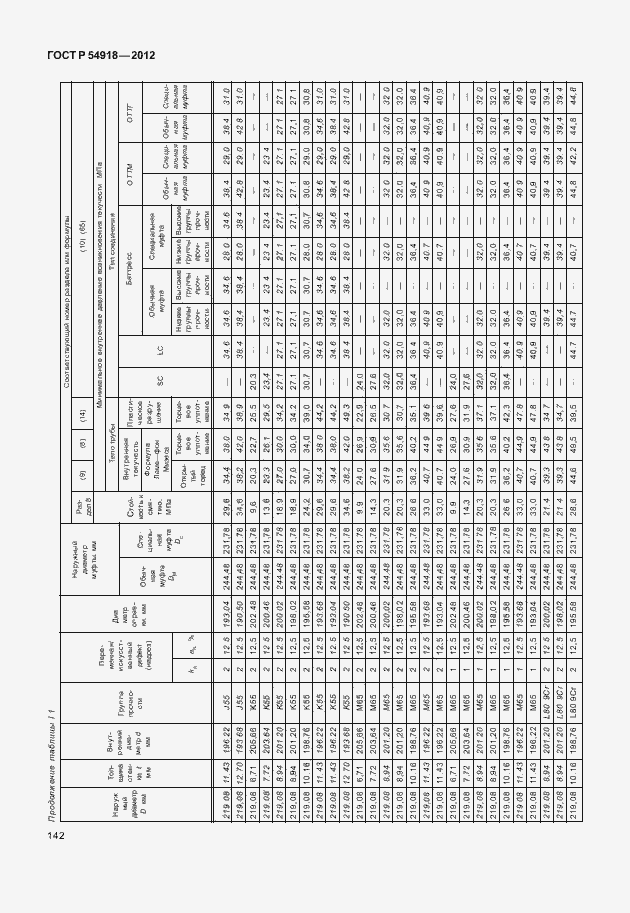
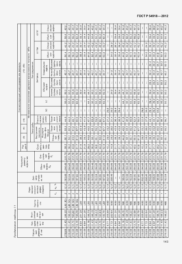
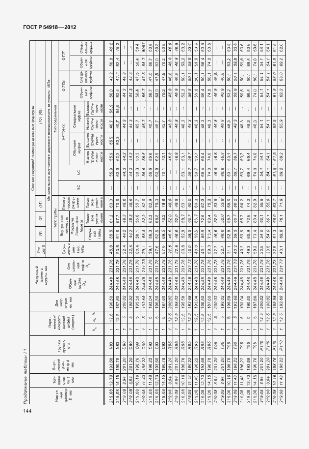
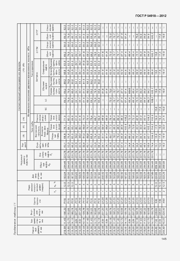
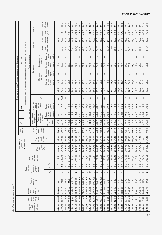
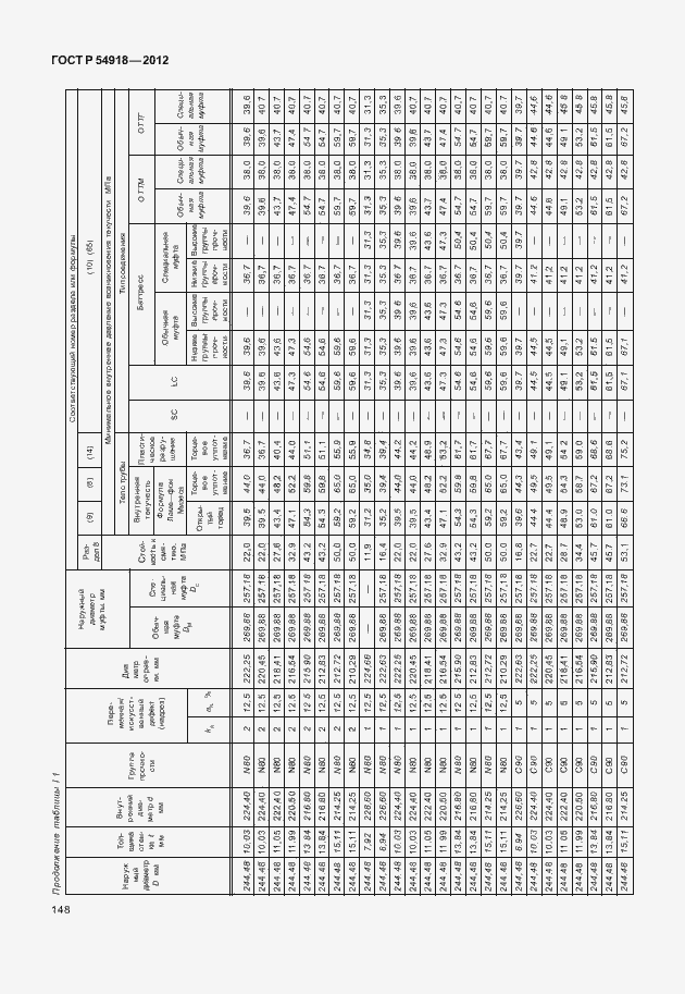
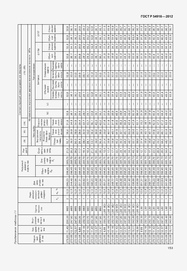
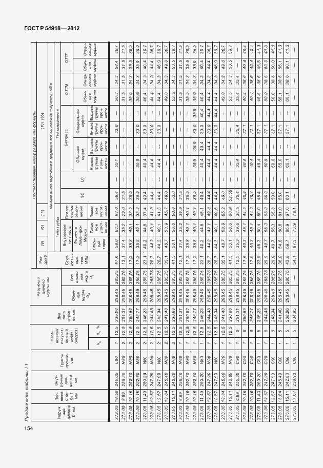
Приложение №1: Изменение №1 к ГОСТ Р 54918-2012 Обозначение: Изменение №1 к ГОСТ Р 54918-2012 Дата введения в действие: 01.04.2021

Приложение №1: Изменение №1 к ГОСТ Р 54918-2012 Обозначение: Изменение №1 к ГОСТ Р 54918-2012 Дата введения в действие: 01.04.2021

Приложение №1: Изменение №1 к ГОСТ Р 54918-2012 Обозначение: Изменение №1 к ГОСТ Р 54918-2012 Дата введения в действие: 01.04.2021

Приложение №1: Изменение №1 к ГОСТ Р 54918-2012 Обозначение: Изменение №1 к ГОСТ Р 54918-2012 Дата введения в действие: 01.04.2021

Приложение №1: Изменение №1 к ГОСТ Р 54918-2012 Обозначение: Изменение №1 к ГОСТ Р 54918-2012 Дата введения в действие: 01.04.2021

Приложение №1: Изменение №1 к ГОСТ Р 54918-2012 Обозначение: Изменение №1 к ГОСТ Р 54918-2012 Дата введения в действие: 01.04.2021

Приложение №1: Изменение №1 к ГОСТ Р 54918-2012 Обозначение: Изменение №1 к ГОСТ Р 54918-2012 Дата введения в действие: 01.04.2021

Приложение №1: Изменение №1 к ГОСТ Р 54918-2012 Обозначение: Изменение №1 к ГОСТ Р 54918-2012 Дата введения в действие: 01.04.2021
