ГОСТ Р 55079-2012 Сталь. Метод атомно-эмиссионного анализа с индуктивно связанной плазмой
ГОСТ Р
Скачать ГОСТ в PDF или DOC бесплатно
Основная информация
Обозначение:
ГОСТ Р 55079-2012
Статус:
Действует
Тип:
ГОСТ Р
Название русское:
Сталь. Метод атомно-эмиссионного анализа с индуктивно связанной плазмой
Название английское:
Steel. Method of inductively coupled plasma atomic-emission analysis
Даты и сроки
Дата издания:
03-31-16
Дата введения в действие:
01-01-14
Дата завершения срока действия:
-
Применение и описание
Область и условия применения:
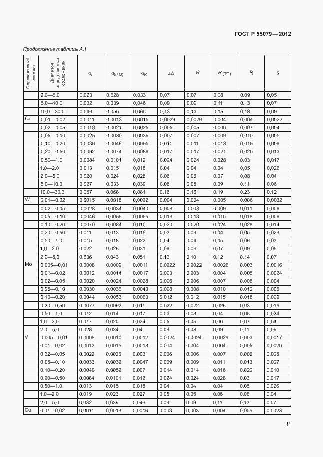
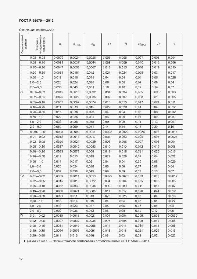
Настоящий стандарт устанавливает атомно-эмиссионный с индуктивно связанной плазмой спектрометрический метод определения массовой доли элементов в углеродистых, легированных, высоколегированных сталях. Стандарт применим для определения массовой доли элементов в анализируемых растворах как с использованием, так и без использования внутреннего стандарта
Связи и замены
Заменяющий:
-
Описание стандарта
ГОСТ Р 55079-2012 Сталь. Метод атомно-эмиссионного анализа с индуктивно связанной плазмой
Страницы стандарта


















