ГОСТ Р 57445-2017 Железнодорожные технические средства. Общие требования к методам определения ресурса
ГОСТ Р
Скачать ГОСТ в PDF или DOC бесплатно
Основная информация
Обозначение:
ГОСТ Р 57445-2017
Статус:
Действует
Тип:
ГОСТ Р
Название русское:
Железнодорожные технические средства. Общие требования к методам определения ресурса
Название английское:
Railway technical means. General requirements for methods of life time estimation
Даты и сроки
Дата издания:
10-03-19
Дата введения в действие:
12-01-17
Дата завершения срока действия:
-
Применение и описание
Область и условия применения:
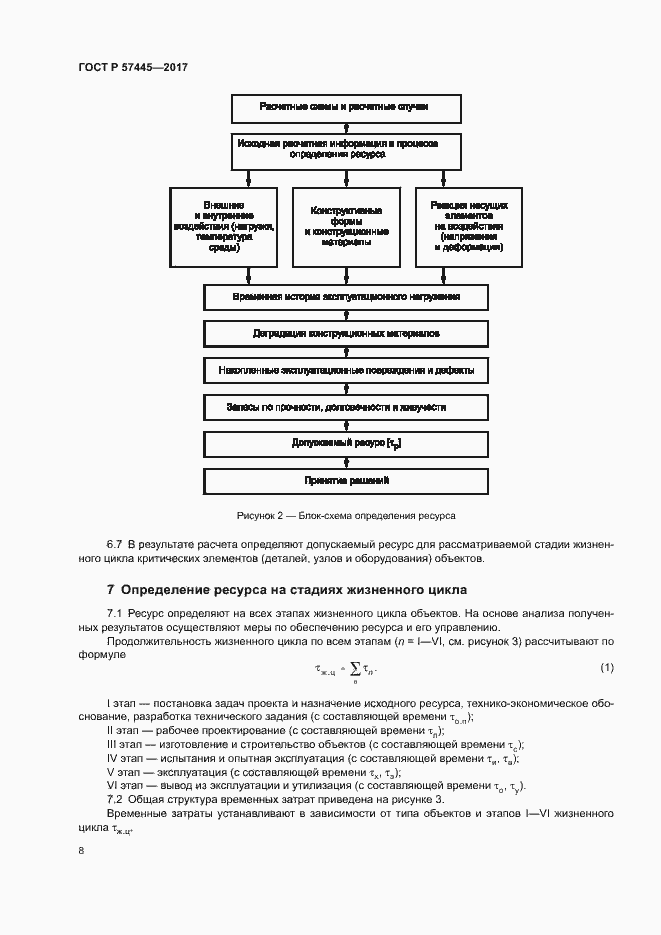
Настоящий стандарт распространяется на железнодорожные технические средства, включающие подвижной состав и его составные части, а также объекты инфраструктуры железнодорожного транспорта, ее составные части и элементы, устанавливает общие требования к методам определения их ресурса на всех этапах жизненного цикла. Настоящий стандарт не распространяется на микропроцессорные системы управления и их программное обеспечение, применяемые на железнодорожном транспорте или являющиеся составной частью железнодорожных технических средств
Связи и замены
Заменяющий:
-
Описание стандарта
ГОСТ Р 57445-2017 Железнодорожные технические средства. Общие требования к методам определения ресурса
Страницы стандарта






























