ГОСТ Р 58123-2018 Транспорт дорожный. Интерфейс связи автомобиль-электрическая сеть. Часть 2. Требования к протоколу сетевого и прикладного уровней
ГОСТ Р
Скачать ГОСТ в PDF или DOC бесплатно
Основная информация
Обозначение:
ГОСТ Р 58123-2018
Статус:
Действует
Тип:
ГОСТ Р
Название русское:
Транспорт дорожный. Интерфейс связи автомобиль-электрическая сеть. Часть 2. Требования к протоколу сетевого и прикладного уровней
Название английское:
Road vehicles. Vehicle-to-Grid Communication Interface. Part 2. Network and application protocol requirements
Даты и сроки
Дата издания:
11-14-18
Дата введения в действие:
06-01-19
Дата завершения срока действия:
-
Применение и описание
Область и условия применения:
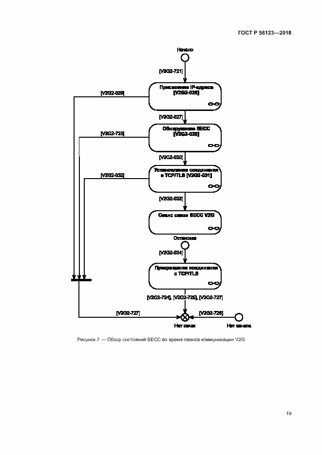
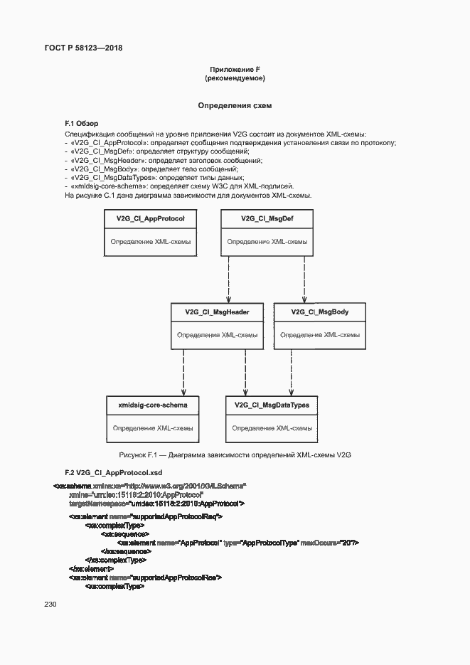
Настоящий стандарт определяет связь между аккумуляторными электромобилями (BEV), гибридными автомобилями с подзарядкой от электросети (PHEV) и оборудованием электроснабжения электромобиля (EVSE). Набор команд для приложения, требования к которому устанавливает настоящий стандарт, служит для поддержки передачи энергии от EVSE к электроавтомобилю (EV). ГОСТ Р 58122 (ИСО 15118-1:2013) содержит дополнительные элементы случаев использования (часть 1, идентификаторы элементов случаев использования: F4 и F5), описывающие двунаправленную передачу энергии. Реализация указанных случаев использования требует оптимизации набора команд для приложения, описываемого в настоящем стандарте. Настоящий стандарт распространяется на сети между EV (BEV или PHEV) и EVSE и устанавливает требования к особенностям обнаружения EV в коммуникационной сети и подключения по Интернет-протоколу (IP) между EVCC и SECC. В настоящем стандарте описаны сообщения, модель данных, формат представления данных на базе XML/EXI, использующих протоколы связи V2GTP, безопасности транспортного уровня TLS, управления передачей TCP и IPv6. Также в нем описан доступ к сервисам канального уровня с точки зрения уровня 3
Связи и замены
Заменяющий:
-
Описание стандарта
ГОСТ Р 58123-2018 Транспорт дорожный. Интерфейс связи автомобиль-электрическая сеть. Часть 2. Требования к протоколу сетевого и прикладного уровней
Страницы стандарта




















































































































































































































































































































































