ГОСТ Р 58462-2019 Автоматизированные системы управления освещением автомобильных дорог и тоннелей. Общие требования
ГОСТ Р
Скачать ГОСТ в PDF или DOC бесплатно
Основная информация
Обозначение:
ГОСТ Р 58462-2019
Статус:
Действует
Тип:
ГОСТ Р
Название русское:
Автоматизированные системы управления освещением автомобильных дорог и тоннелей. Общие требования
Название английское:
Roads and tunnels lighting automatic control systems. General requirements
Даты и сроки
Дата издания:
08-30-19
Дата введения в действие:
01-01-20
Дата завершения срока действия:
-
Применение и описание
Область и условия применения:
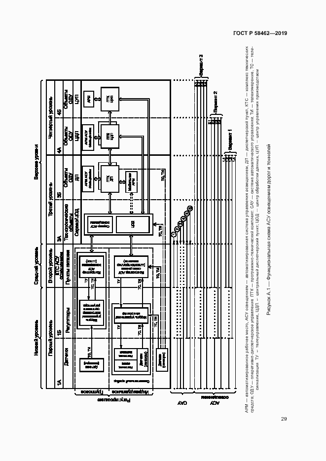
Настоящий стандарт распространяется на автоматизированные системы управления освещением (далее - АСУ освещением) автомобильных дорог и тоннелей (далее - дорог и тоннелей) и устанавливает общие требования к ним
Связи и замены
Заменяющий:
-
Описание стандарта
ГОСТ Р 58462-2019 Автоматизированные системы управления освещением автомобильных дорог и тоннелей. Общие требования
Страницы стандарта















































