ГОСТ Р 70432-2023 Трубопроводы атомных станций, подверженные эрозионно-коррозионному износу. Методики расчета допустимых и прогнозируемых толщин стенок
ГОСТ Р
Скачать ГОСТ в PDF или DOC бесплатно
Основная информация
Обозначение:
ГОСТ Р 70432-2023
Статус:
Действует
Тип:
ГОСТ Р
Название русское:
Трубопроводы атомных станций, подверженные эрозионно-коррозионному износу. Методики расчета допустимых и прогнозируемых толщин стенок
Название английское:
Pipelines of nuclear power plants subject to flow accelerated corrosion. Methods for calculating allowable and predicted wall thicknesses
Даты и сроки
Дата издания:
08-25-23
Дата введения в действие:
08-01-23
Дата завершения срока действия:
-
Применение и описание
Область и условия применения:
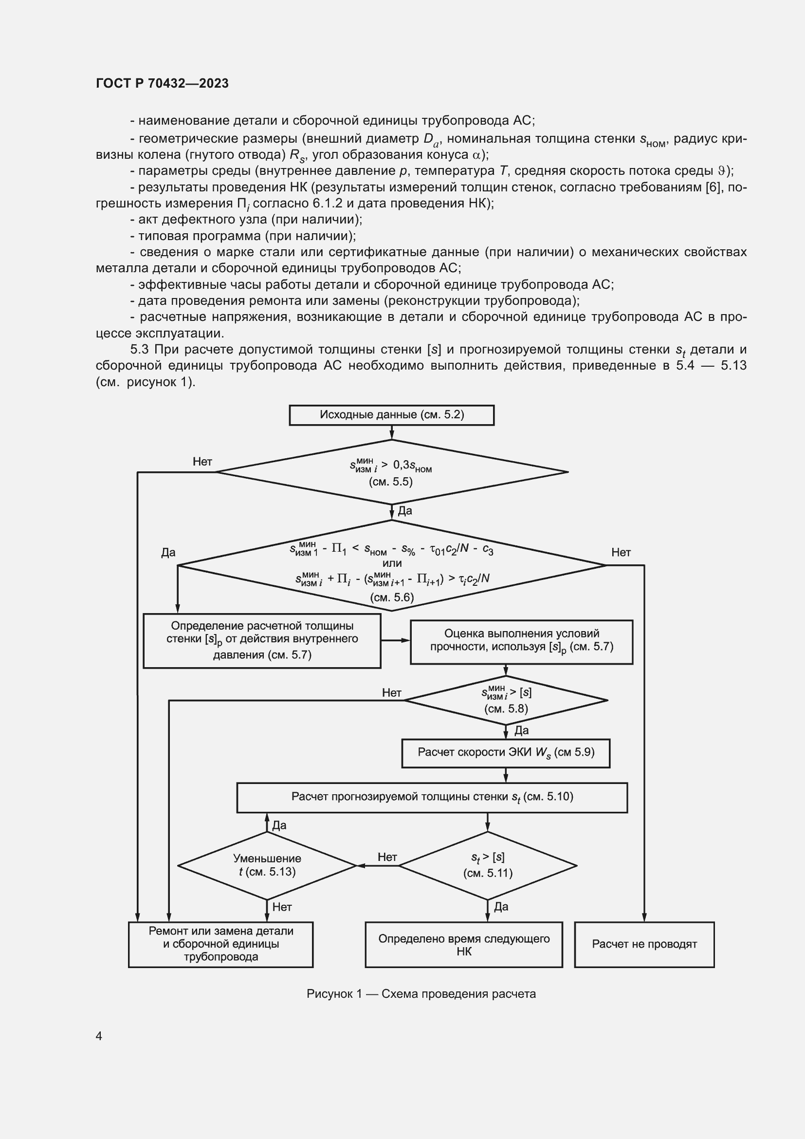
Настоящий стандарт распространяется на основной металл трубопроводов атомных станций: - номинальными диаметрами от 14 до 1620 мм; - эксплуатирующиеся: при температуре от 40 °С до 350 °С, при внутреннем избыточном давлении от 0,3 до 22,0 МПа, со скоростью потока среды более 2 м/с; - относящиеся к классам безопасности 2, 3, 4, согласно федеральным нормам и правилам в области использования атомной энергии [1]; - изготовленные из углеродистых, кремнемарганцовистых сталей, а также легированных сталей с массовой долей хрома менее 1 % [2]; - подверженные эрозионно-коррозионному износу и предназначенные для транспортирования пара или горячей воды
Связи и замены
Заменяющий:
-
Описание стандарта
ГОСТ Р 70432-2023 Трубопроводы атомных станций, подверженные эрозионно-коррозионному износу. Методики расчета допустимых и прогнозируемых толщин стенок
Страницы стандарта



















