ГОСТ Р 70515-2022 Проекты по экономии энергии. Руководящие указания по проведению экономической и финансовой оценки
ГОСТ Р
Скачать ГОСТ в PDF или DOC бесплатно
Основная информация
Обозначение:
ГОСТ Р 70515-2022
Статус:
Действует
Тип:
ГОСТ Р
Название русское:
Проекты по экономии энергии. Руководящие указания по проведению экономической и финансовой оценки
Название английское:
Energy saving projects. Guidelines for economic and financial evaluation
Даты и сроки
Дата издания:
12-28-22
Дата введения в действие:
07-01-23
Дата завершения срока действия:
-
Применение и описание
Область и условия применения:
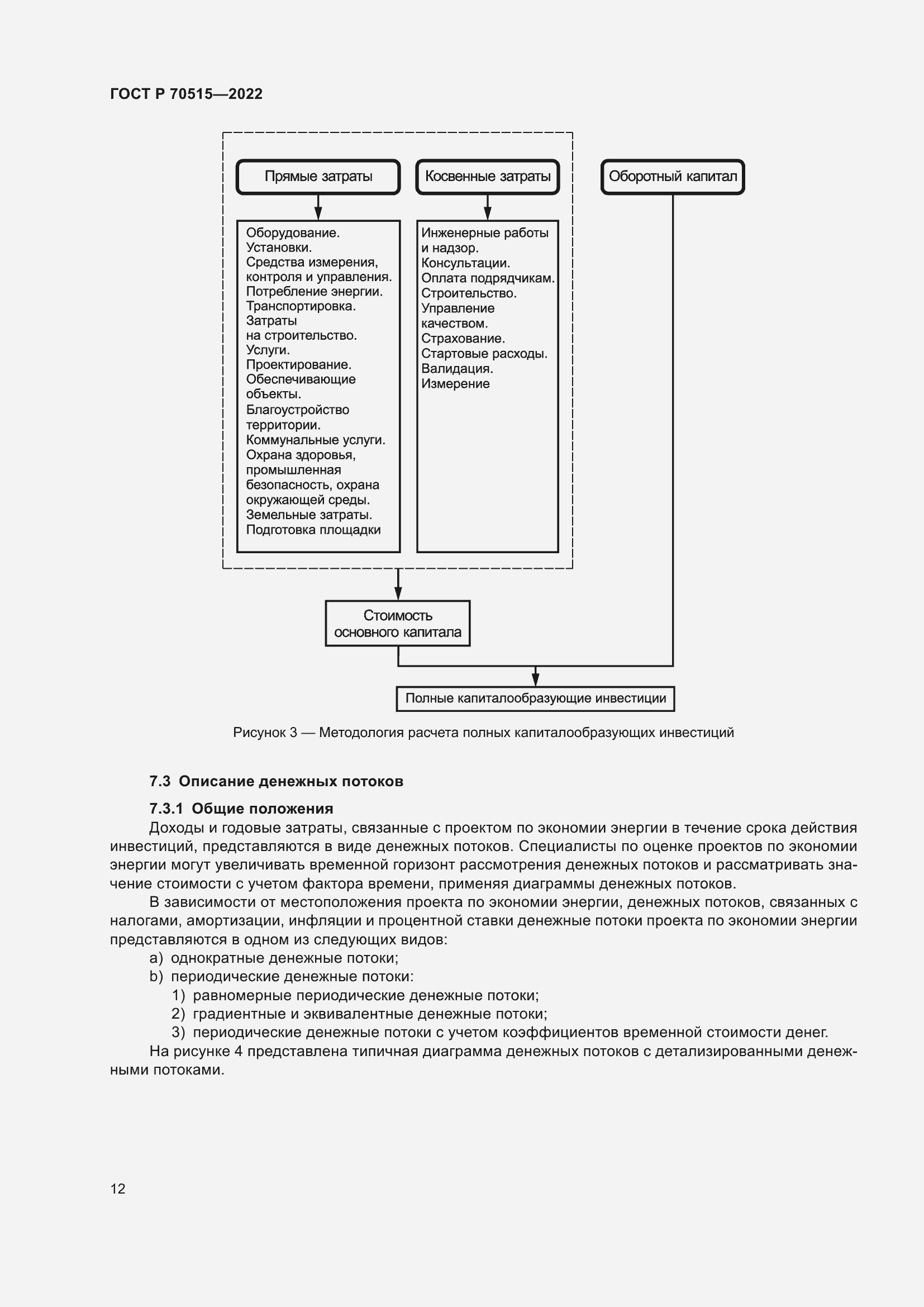
Настоящий стандарт предоставляет руководящие указания по сравнению и определению приоритетов проектов по экономии энергии до их реализации на основе проведения экономической и финансовой оценки. Он включает в себя единый набор принципов. Настоящий стандарт применим ко всем проектам по экономии энергии и действиям по улучшению энергетических результатов деятельности, разрабатываемым заинтересованными сторонами и организациями для улучшения энергетических результатов деятельности, независимо от вида и размера организации, а также ее использования и потребления энергии
Связи и замены
Заменяющий:
-
Описание стандарта
ГОСТ Р 70515-2022 Проекты по экономии энергии. Руководящие указания по проведению экономической и финансовой оценки
Страницы стандарта













































