ГОСТ Р 70664-2023 Дистанционное зондирование Земли из космоса. Данные дистанционного зондирования Земли из космоса. Общие требования к стереообработке
ГОСТ Р
Скачать ГОСТ в PDF или DOC бесплатно
Основная информация
Обозначение:
ГОСТ Р 70664-2023
Статус:
Действует
Тип:
ГОСТ Р
Название русское:
Дистанционное зондирование Земли из космоса. Данные дистанционного зондирования Земли из космоса. Общие требования к стереообработке
Название английское:
Remote sensing of the Earth from space. Remote sensing data of the Earth from space. General requirements for stereo processing
Даты и сроки
Дата издания:
07-24-23
Дата введения в действие:
01-01-24
Применение и описание
Область и условия применения:
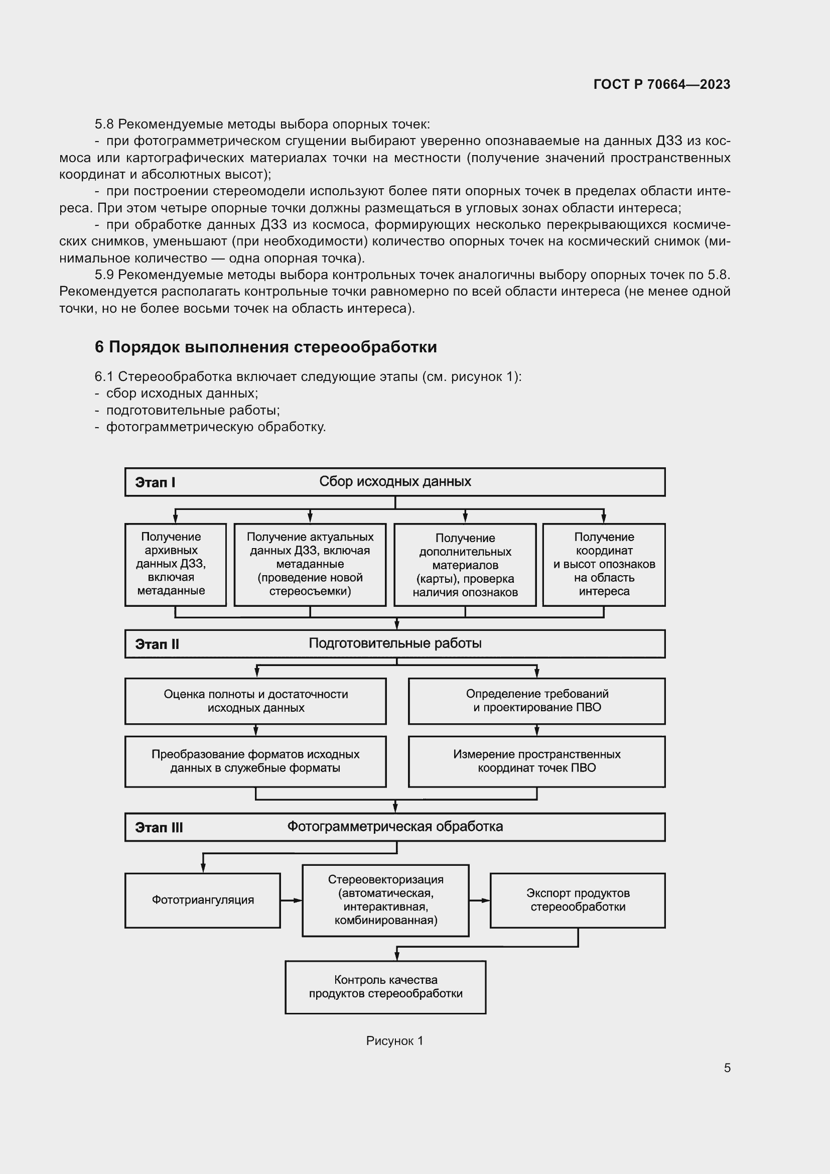
Настоящий стандарт устанавливает требования к проведению стереообработки данных дистанционного зондирования Земли из космоса, включая требования к исходным данным, аппаратно-программному обеспечению, порядку фотограмметрической обработки, оценке качества результатов стереообработки, и приводит типологию основных продуктов стереообработки. Настоящий стандарт предназначен для организаций и специалистов, осуществляющих обработку данных дистанционного зондирования Земли из космоса, оказывающих услуги с использованием данных дистанционного зондирования Земли из космоса
Описание стандарта
ГОСТ Р 70664-2023 Дистанционное зондирование Земли из космоса. Данные дистанционного зондирования Земли из космоса. Общие требования к стереообработке
Страницы стандарта



















