ГОСТ Р 70804.1-2023 Автоматические измерительные системы для контроля выбросов загрязняющих веществ. Система сбора и обработки данных. Часть 1. Требования к системам сбора и обработки данных
ГОСТ Р
Скачать ГОСТ в PDF или DOC бесплатно
Основная информация
Обозначение:
ГОСТ Р 70804.1-2023
Статус:
Действует
Тип:
ГОСТ Р
Название русское:
Автоматические измерительные системы для контроля выбросов загрязняющих веществ. Система сбора и обработки данных. Часть 1. Требования к системам сбора и обработки данных
Название английское:
Automatic measuring systems for control of polutant emissions. Data acquisition and handling system. Part 1. Specification of requirements for the handling and reporting of data
Даты и сроки
Дата издания:
10-13-23
Дата введения в действие:
11-01-23
Дата завершения срока действия:
-
Применение и описание
Область и условия применения:
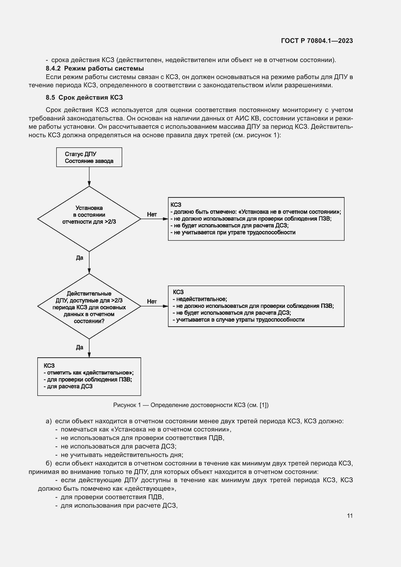
Настоящий стандарт устанавливает методы преобразования необработанных данных от АИС КВ в отчетные данные с использованием ССОД. ССОД должна соответствовать: - требованиям к обработке данных; - требованиям к представлению данных; - требованиям к методам расчета. Настоящий стандарт регламентирует процедуры сбора необработанных данных, проверки достоверности первичных данных, корректировки и усреднения данных. Настоящий стандарт не исключает использование дополнительных возможностей и функций при условии, что будут выполнены минимальные требования настоящего стандарта
Связи и замены
Заменяющий:
-
Описание стандарта
ГОСТ Р 70804.1-2023 Автоматические измерительные системы для контроля выбросов загрязняющих веществ. Система сбора и обработки данных. Часть 1. Требования к системам сбора и обработки данных
Страницы стандарта























