ГОСТ Р 70893-2023 Тренажерные устройства имитации полета. Тренажерные устройства имитации полета вертолета. Методы оценки соответствия
ГОСТ Р
Скачать ГОСТ в PDF или DOC бесплатно
Основная информация
Обозначение:
ГОСТ Р 70893-2023
Статус:
Действует
Тип:
ГОСТ Р
Название русское:
Тренажерные устройства имитации полета. Тренажерные устройства имитации полета вертолета. Методы оценки соответствия
Название английское:
Flight simulation training devices. Helicopter flight simulation devices. Сonformity assessment methods
Даты и сроки
Дата издания:
11-27-23
Дата введения в действие:
01-01-24
Применение и описание
Область и условия применения:
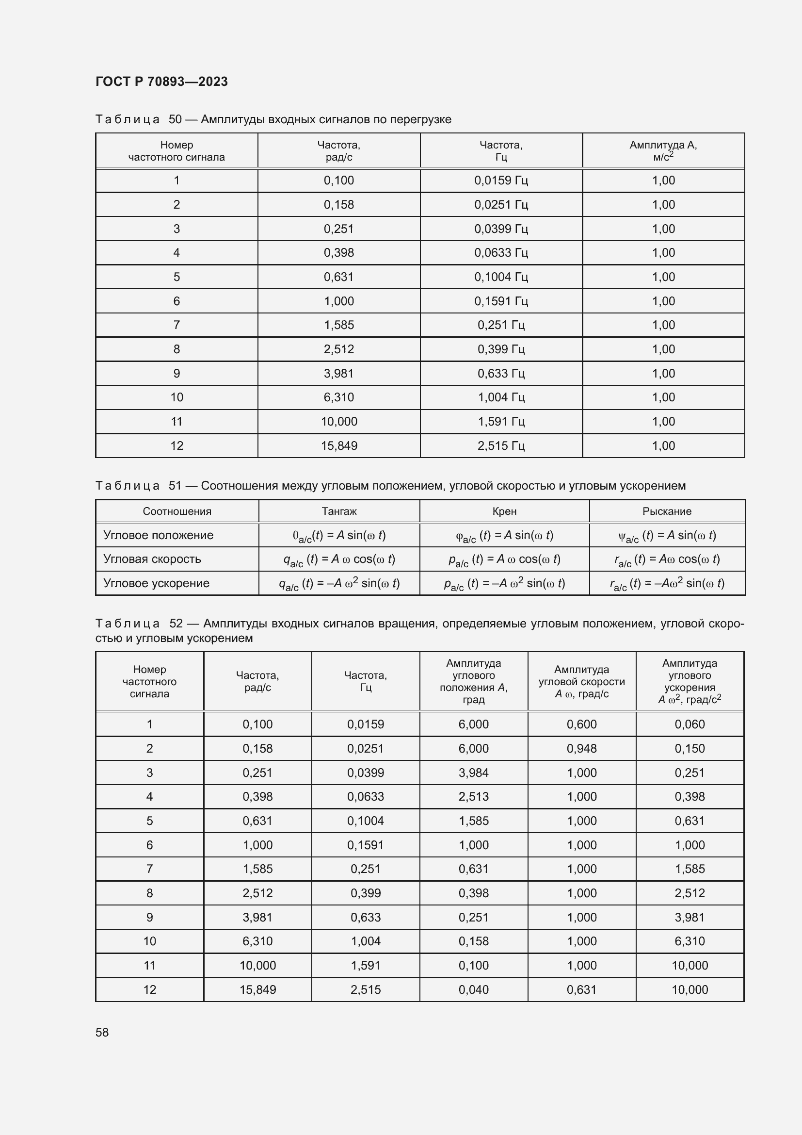
Настоящий стандарт устанавливает требования к методам оценки соответствия тренажеров вертолета требованиям Федеральных авиационных правил. Настоящий стандарт предназначен для обеспечения процедуры допуска к применению тренажерных устройств имитации полета [1] и предназначен для применения при проведении испытаний авиационных тренажеров вертолетов, их систем, программного и аппаратного обеспечения, а также при проведении модернизации действующих авиационных тренажеров и экспертизы проектов перспективных авиационных тренажеров
Описание стандарта
ГОСТ Р 70893-2023 Тренажерные устройства имитации полета. Тренажерные устройства имитации полета вертолета. Методы оценки соответствия
Страницы стандарта









































































































