ГОСТ Р 70921-2023 Системная и программная инженерия. Требования и оценка качества систем и программной продукции (SQuaRE). Концепция требований к качеству
ГОСТ Р
Скачать ГОСТ в PDF или DOC бесплатно
Основная информация
Обозначение:
ГОСТ Р 70921-2023
Статус:
Действует
Тип:
ГОСТ Р
Название русское:
Системная и программная инженерия. Требования и оценка качества систем и программной продукции (SQuaRE). Концепция требований к качеству
Название английское:
Systems and software engineering. Systems and software Quality Requirements and Evaluation (SQuaRE). Quality requirements framework
Даты и сроки
Дата издания:
09-19-23
Дата введения в действие:
01-30-24
Дата завершения срока действия:
-
Применение и описание
Область и условия применения:
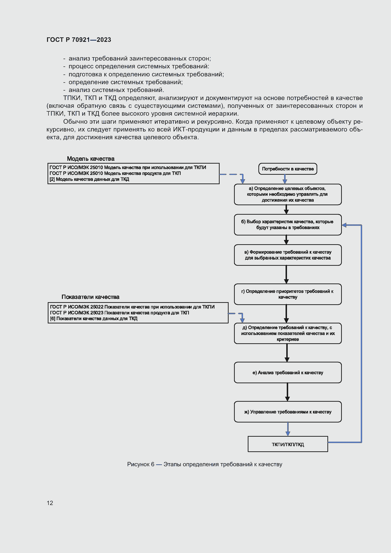
Настоящий стандарт обеспечивает основу для требований к качеству систем, программной продукции и данных, которая включает в себя концепцию требований к качеству, а также требования и рекомендации к процессам и методам для их выявления (см. приложение А), определения, использования и управления. Предполагаемыми пользователи настоящего стандарта являются, но не ограничиваются: - покупатели: оценивают, соответствует ли система/программная продукция/данные их запросам, т. е. соответствие ожидаемому качеству; - разработчики: разрабатывают, внедряют и тестируют систему/программную продукцию/данные, чтобы убедиться, что они соответствуют ожидаемому качеству; - тестировщики: проверяют и подтверждают, что система/программную продукцию/данные соответствуют ожидаемому качеству; - руководители проектов: планируют, контролируют и регулируют достижение ожидаемого качества; - независимые оценщики: оценивают систему/программную продукцию/данные в соответствии с объективными критериями
Связи и замены
Заменяющий:
-
Описание стандарта
ГОСТ Р 70921-2023 Системная и программная инженерия. Требования и оценка качества систем и программной продукции (SQuaRE). Концепция требований к качеству
Страницы стандарта

















































