ГОСТ Р 70923-2023 Складское оборудование. Автоматизированные системы хранения лифтового и элеваторного типов. Общие технические условия
ГОСТ Р
Скачать ГОСТ в PDF или DOC бесплатно
Основная информация
Обозначение:
ГОСТ Р 70923-2023
Статус:
Действует
Тип:
ГОСТ Р
Название русское:
Складское оборудование. Автоматизированные системы хранения лифтового и элеваторного типов. Общие технические условия
Название английское:
Storage equipment. Automated storage lifts and carousels. General specifications
Даты и сроки
Дата издания:
09-19-23
Дата введения в действие:
01-01-24
Дата завершения срока действия:
-
Применение и описание
Область и условия применения:
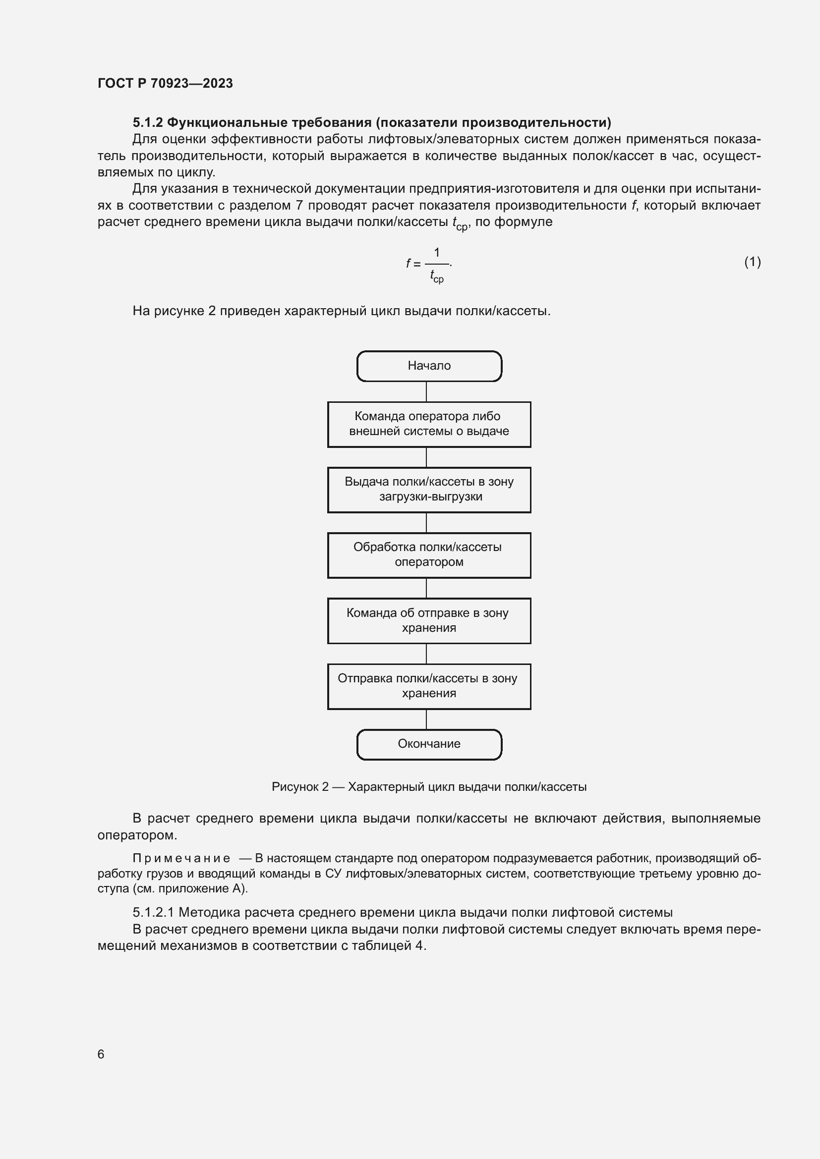
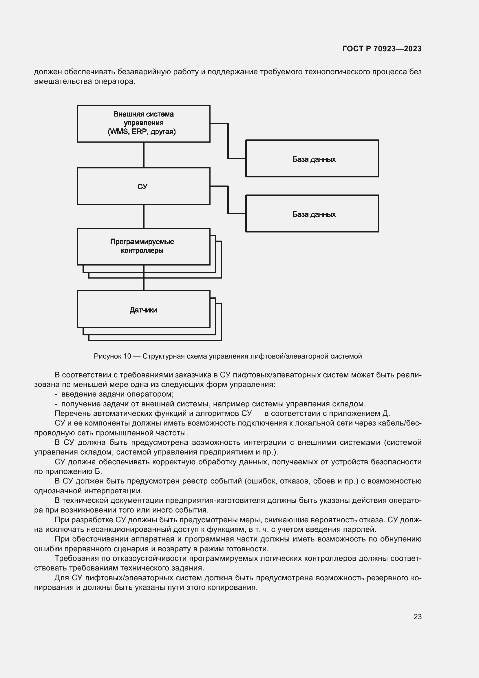
Настоящий стандарт распространяется на автоматизированные системы хранения лифтового и элеваторного типов (далее – лифтовые/элеваторные системы), предназначенные для многоуровневого хранения тарных и штучных грузов, эксплуатируемые преимущественно в закрытых помещениях. Настоящий стандарт не распространяется на лифтовые/элеваторные системы специального назначения, в т. ч. предназначенные для работы в помещениях (зонах), где находятся взрывоопасные грузы и среды, а также ядовитые и химически активные вещества в концентрациях, разрушающих металл и электрическую изоляцию. Применение стандарта для лифтовых/элеваторных систем, эксплуатируемых в сейсмически опасных районах возможно с учетом соблюдения требований соответствующих нормативных документов
Связи и замены
Заменяющий:
-
Описание стандарта
ГОСТ Р 70923-2023 Складское оборудование. Автоматизированные системы хранения лифтового и элеваторного типов. Общие технические условия
Страницы стандарта













































