ГОСТ Р 70924-2023 Информационные технологии. Интернет вещей. Типовая архитектура
ГОСТ Р
Скачать ГОСТ в PDF или DOC бесплатно
Основная информация
Обозначение:
ГОСТ Р 70924-2023
Статус:
Действует
Тип:
ГОСТ Р
Название русское:
Информационные технологии. Интернет вещей. Типовая архитектура
Название английское:
Information technology. Internet of things. Reference architecture
Даты и сроки
Дата издания:
12-13-23
Дата введения в действие:
01-01-24
Дата завершения срока действия:
-
Применение и описание
Область и условия применения:
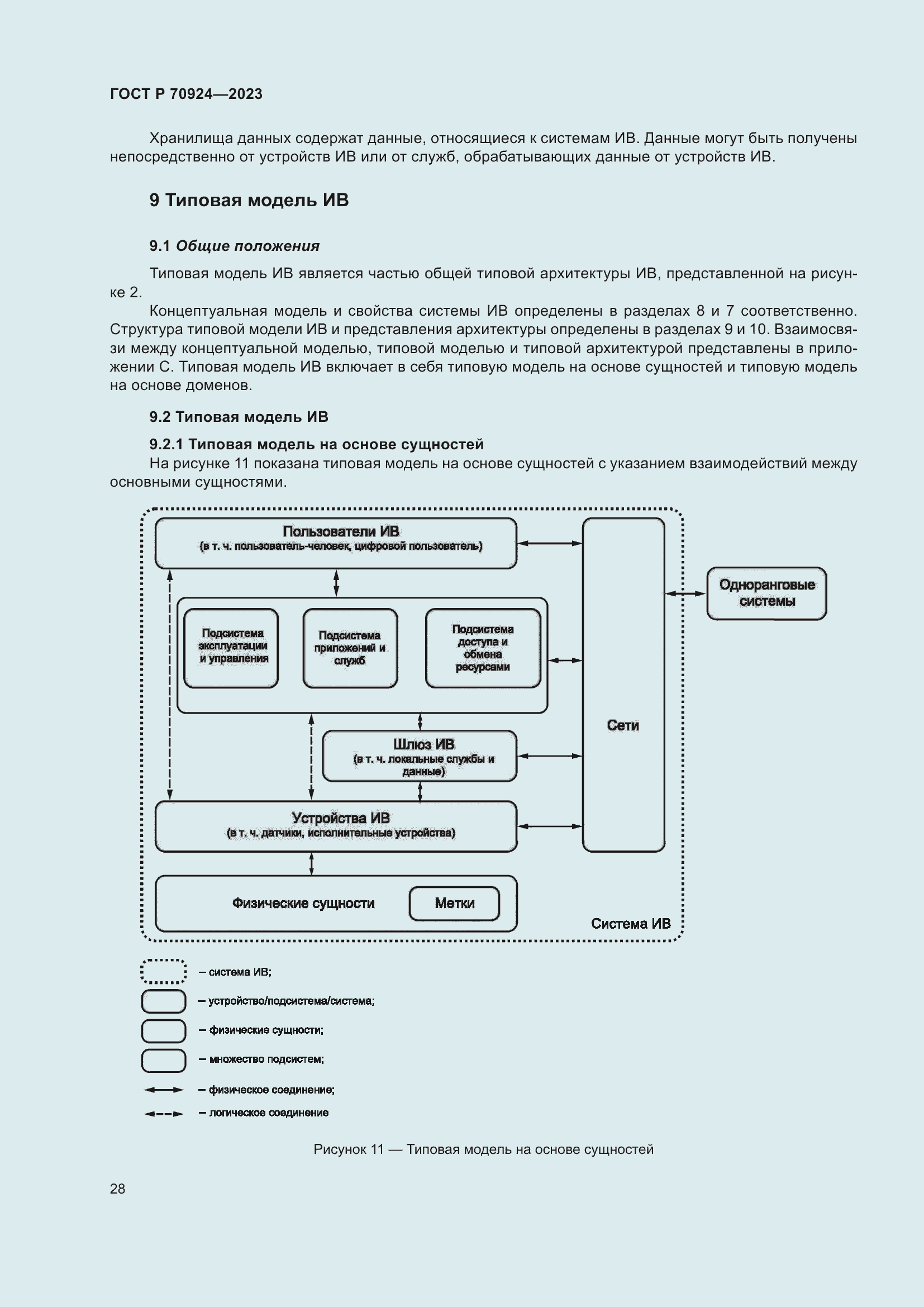
Настоящий стандарт определяет общую типовую архитектуру Интернета вещей (ИВ) путем определения системных характеристик, концептуальной модели, типовой модели и архитектурных представлений
Связи и замены
Заменяющий:
-
Описание стандарта
ГОСТ Р 70924-2023 Информационные технологии. Интернет вещей. Типовая архитектура
Страницы стандарта

































































