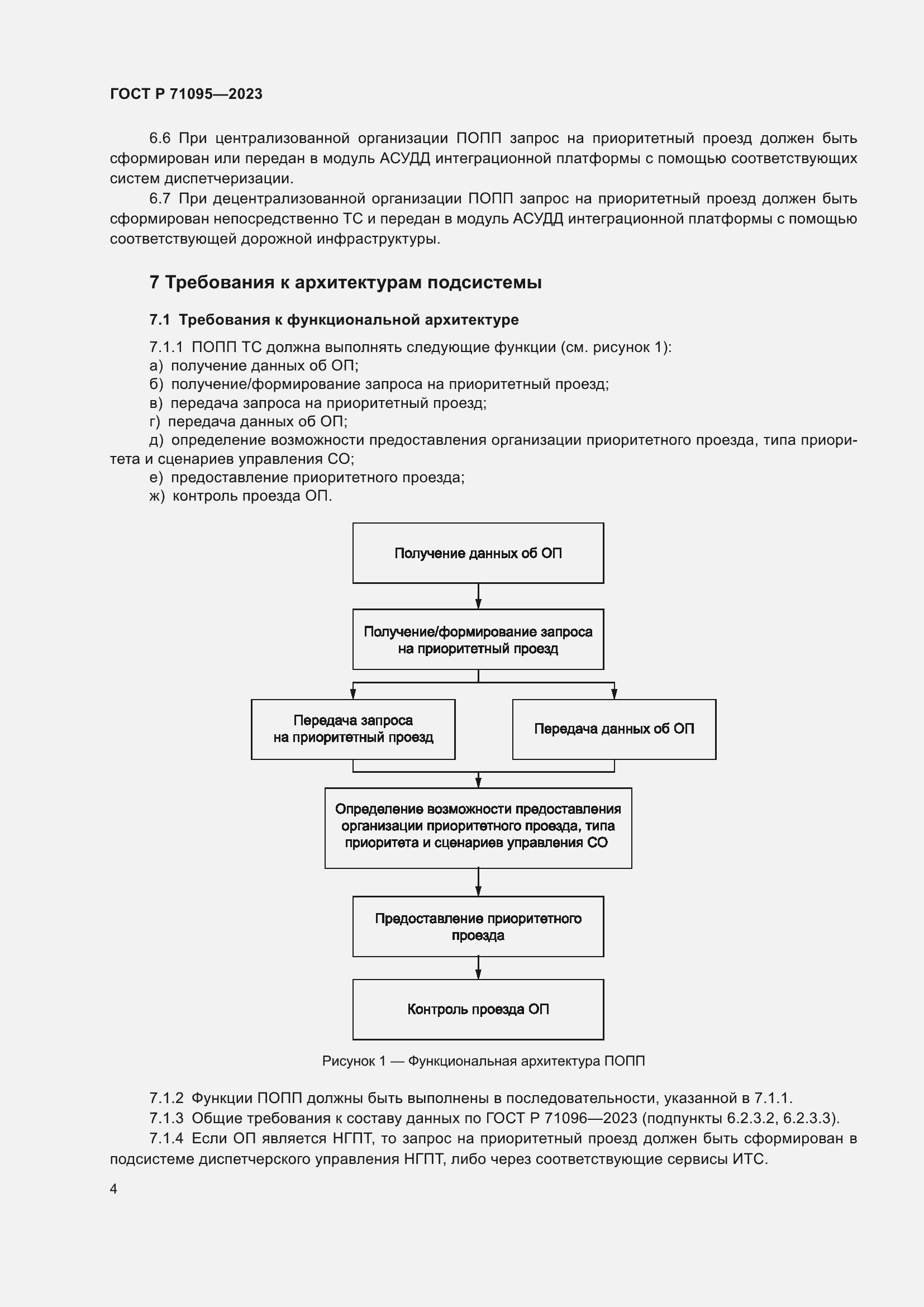
ГОСТ Р 71095-2023 Интеллектуальные транспортные системы. Подсистема обеспечения приоритетного проезда транспортных средств. Общие требования
ГОСТ Р
Скачать ГОСТ в PDF или DOC бесплатно
Основная информация
Обозначение:
ГОСТ Р 71095-2023
Статус:
Действует
Тип:
ГОСТ Р
Название русское:
Интеллектуальные транспортные системы. Подсистема обеспечения приоритетного проезда транспортных средств. Общие требования
Название английское:
Intelligent transport systems. Subsystem for providing priority passage of vehicles. General requirements
Даты и сроки
Дата издания:
12-18-23
Дата введения в действие:
06-01-24
Дата завершения срока действия:
-
Применение и описание
Область и условия применения:
Настоящий стандарт устанавливает общие требования к подсистеме обеспечения приоритетного проезда как подсистеме интеллектуальных транспортных систем (ИТС). Настоящий стандарт распространяется на организации, выполняющие проектирование и эксплуатацию ИТС на автомобильных дорогах общего пользования федерального, регионального, межмуниципального, местного значений и улично – дорожной сети населенных пунктов
Связи и замены
Заменяющий:
-
Описание стандарта
ГОСТ Р 71095-2023 Интеллектуальные транспортные системы. Подсистема обеспечения приоритетного проезда транспортных средств. Общие требования
Страницы стандарта















