ГОСТ Р 71114-2023 Система стандартов реализации климатических проектов. Методика расчета массового расхода парникового газа в газовом потоке
ГОСТ Р
Скачать ГОСТ в PDF или DOC бесплатно
Основная информация
Обозначение:
ГОСТ Р 71114-2023
Статус:
Действует
Тип:
ГОСТ Р
Название русское:
Система стандартов реализации климатических проектов. Методика расчета массового расхода парникового газа в газовом потоке
Название английское:
System of standards for implementing climate projects. Tool to determine the mass flow of a greenhouse gas in a gaseous stream
Даты и сроки
Дата издания:
12-15-23
Дата введения в действие:
06-01-24
Дата завершения срока действия:
-
Применение и описание
Область и условия применения:
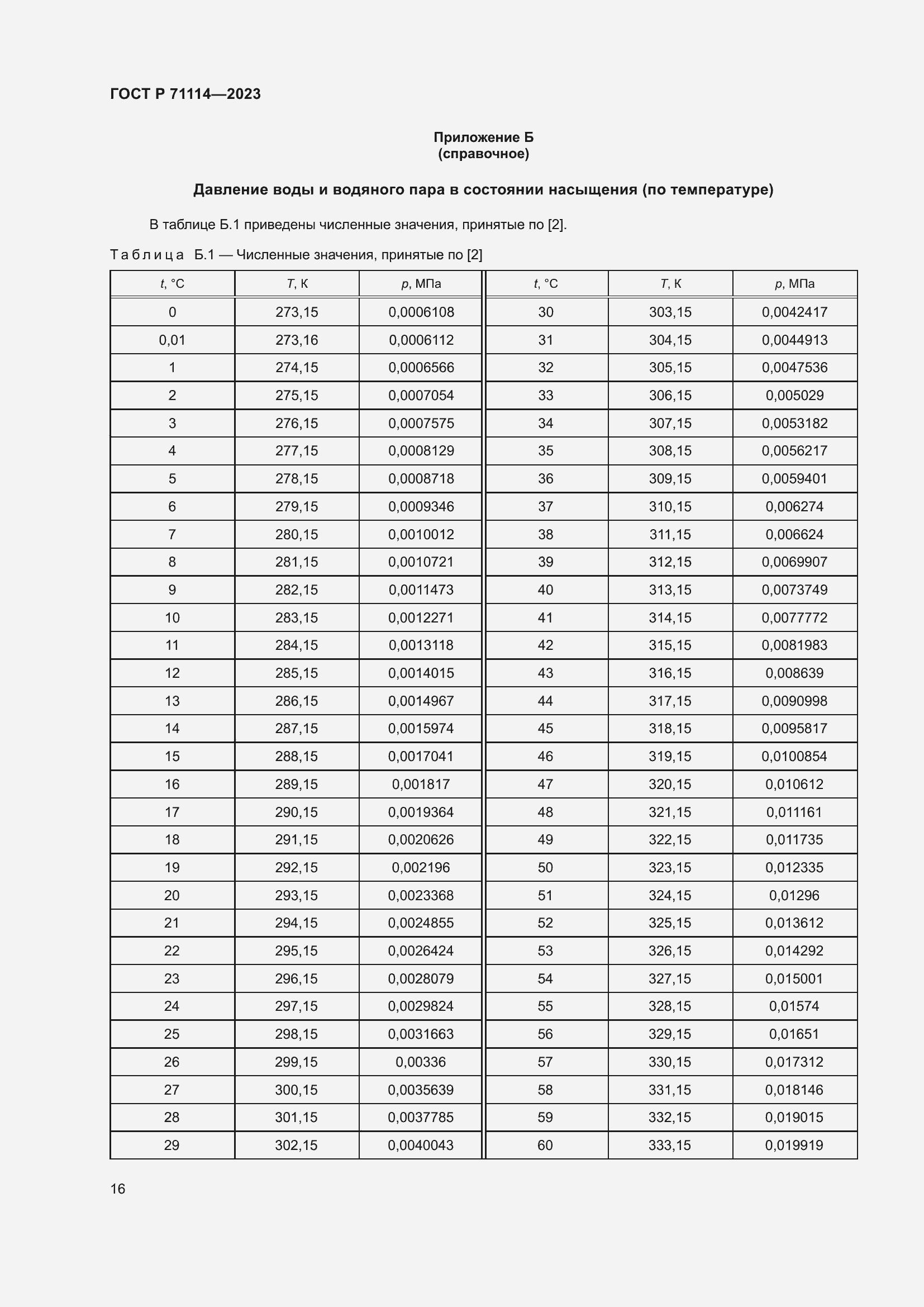
Настоящий стандарт представляет собой методическое руководство для количественного определения массового расхода парниковых газов в газовом потоке. Настоящий стандарт описывает процедуры для определения показателя, приведенного в таблице 1
Связи и замены
Заменяющий:
-
Описание стандарта
ГОСТ Р 71114-2023 Система стандартов реализации климатических проектов. Методика расчета массового расхода парникового газа в газовом потоке
Страницы стандарта



























