ГОСТ Р 71146-2023 Оборудование химическое и нефтегазоперерабатывающее. Расчет на прочность элементов нагревательных печей, работающих под давлением
ГОСТ Р
Скачать ГОСТ в PDF или DOC бесплатно
Основная информация
Обозначение:
ГОСТ Р 71146-2023
Статус:
Действует
Тип:
ГОСТ Р
Название русское:
Оборудование химическое и нефтегазоперерабатывающее. Расчет на прочность элементов нагревательных печей, работающих под давлением
Название английское:
Chemical and oil and gas processing equipment. Strength calculation of heating furnaces pressure elements
Даты и сроки
Дата издания:
02-29-24
Дата введения в действие:
06-30-24
Дата завершения срока действия:
-
Применение и описание
Область и условия применения:
Настоящий стандарт устанавливает методику расчета на прочность элементов нагревательных печей, работающих под внутренним избыточным давлением, применяемых в химической, нефтехимической, нефтегазоперерабатывающей промышленности
Связи и замены
Заменяющий:
-
Описание стандарта
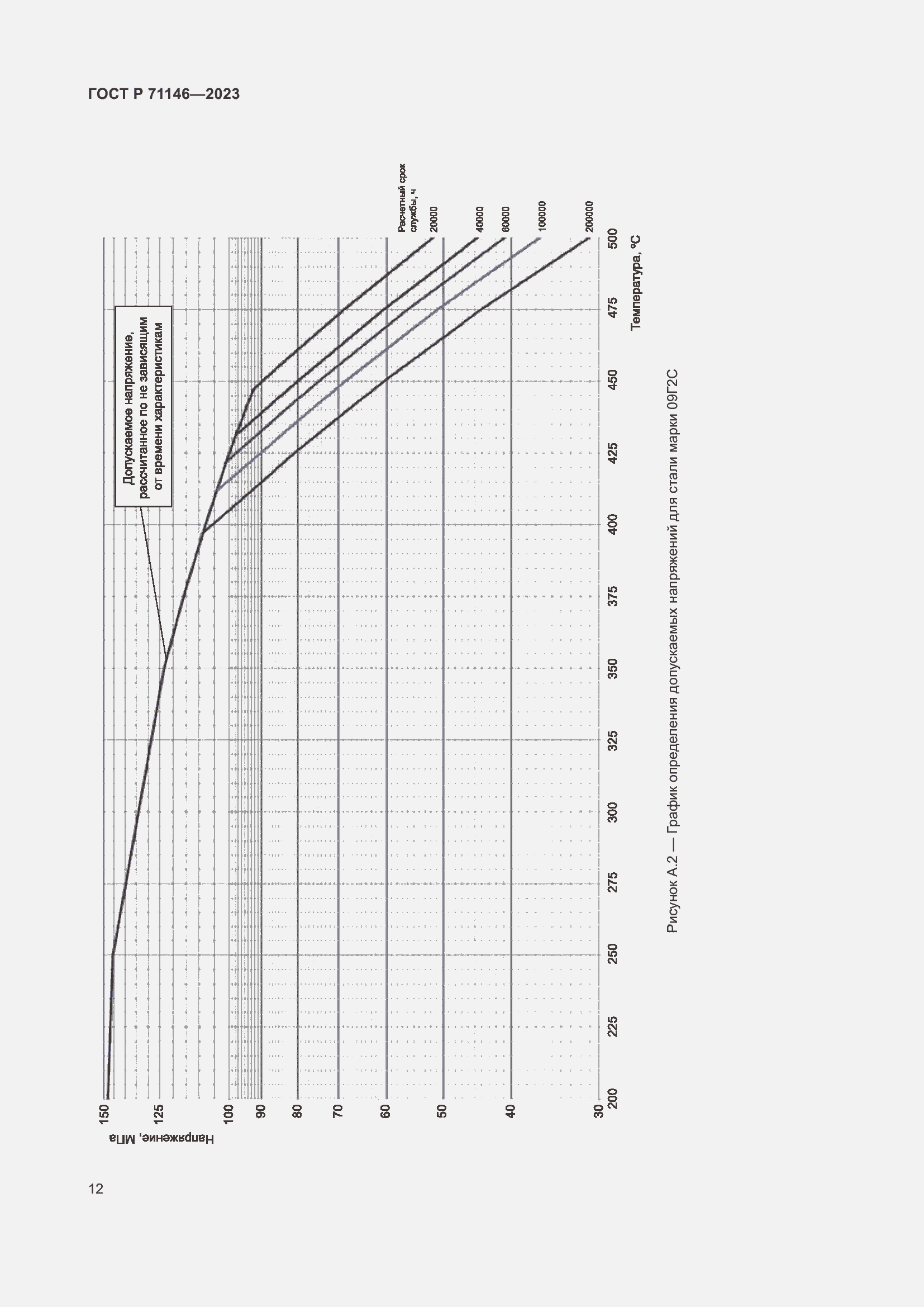
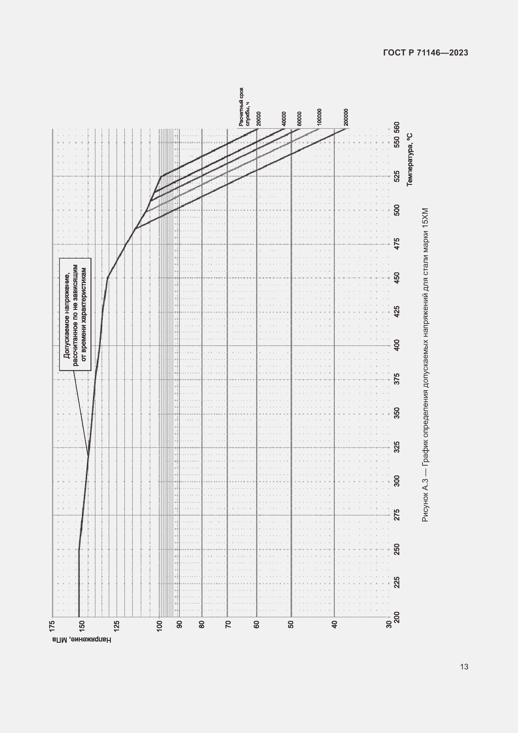
ГОСТ Р 71146-2023 Оборудование химическое и нефтегазоперерабатывающее. Расчет на прочность элементов нагревательных печей, работающих под давлением
Страницы стандарта







































