ГОСТ 30215-94 Стоматологические вращающиеся инструменты. Система цифрового обозначения. Часть 1. Общие характеристики
ГОСТ
Скачать ГОСТ в PDF или DOC бесплатно
Основная информация
Обозначение:
ГОСТ 30215-94
Статус:
Утратил силу в РФ
Тип:
ГОСТ
Название русское:
Стоматологические вращающиеся инструменты. Система цифрового обозначения. Часть 1. Общие характеристики
Название английское:
Dental rotary instruments. Number coding system. Part 1. General requirements
Даты и сроки
Дата издания:
12-21-00
Дата введения в действие:
06-30-96
Дата завершения срока действия:
06-01-13
Применение и описание
Область и условия применения:
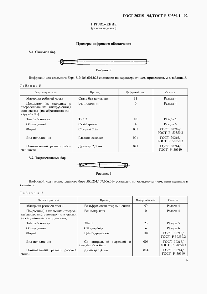
Настоящий стандарт разработан в связи с необходимостью использования единой системыклассификации и обозначения стоматологических инструментов в торговле, промышленности и стоматологической практике. Стандарт устанавливает общую пятнадцатицифровую систему обозначения для стоматологических вращающихся инструментов
Связи и замены
Заменяющий:
-
Изменения и переиздания
Список изменений:
№0 от (рег. ) «Поправка к изменению»
Описание стандарта
ГОСТ 30215-94 Стоматологические вращающиеся инструменты. Система цифрового обозначения. Часть 1. Общие характеристики
Страницы стандарта














