ГОСТ Р 71246-2024 Резцы токарные проходные, подрезные и копировальные со сменными многогранными пластинами. Типы и размеры
ГОСТ Р
Скачать ГОСТ в PDF или DOC бесплатно
Основная информация
Обозначение:
ГОСТ Р 71246-2024
Статус:
Действует
Тип:
ГОСТ Р
Название русское:
Резцы токарные проходные, подрезные и копировальные со сменными многогранными пластинами. Типы и размеры
Название английское:
Straight turning, undercutting and copying tool holders with indexable inserts. Types and dimensions
Даты и сроки
Дата издания:
07-03-24
Дата введения в действие:
07-01-25
Дата завершения срока действия:
-
Применение и описание
Область и условия применения:
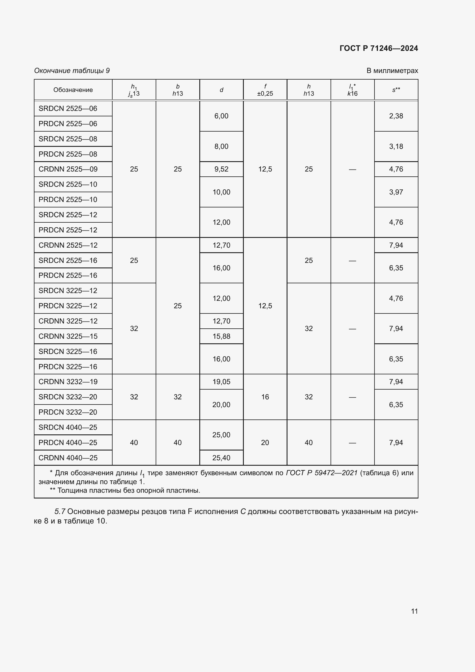
Настоящий стандарт распространяется на токарные проходные, подрезные и копировальные резцы с прямоугольным сечением державки резца, со сменными многогранными пластинами из твердого сплава, керамики и других режущих материалов, используемых для токарных операций, по ГОСТ 19042, ГОСТ 27301, ГОСТ 25003, и устанавливает предпочтительные типы резцов, относящиеся к ним размеры и определение размеров
Связи и замены
Заменяющий:
-
Описание стандарта
ГОСТ Р 71246-2024 Резцы токарные проходные, подрезные и копировальные со сменными многогранными пластинами. Типы и размеры
Страницы стандарта





















































