ГОСТ Р 71279-2024 Оптика и фотоника. Детали оптические. Типовые технологические процессы нанесения одно-, двух- и трехслойных просветляющих покрытий из растворов
ГОСТ Р
Скачать ГОСТ в PDF или DOC бесплатно
Основная информация
Обозначение:
ГОСТ Р 71279-2024
Статус:
Действует
Тип:
ГОСТ Р
Название русское:
Оптика и фотоника. Детали оптические. Типовые технологические процессы нанесения одно-, двух- и трехслойных просветляющих покрытий из растворов
Название английское:
Optics and photonics. Optical details. Typical technological processes of applying one-, two- and three-layer antireflection coatings from solutions
Даты и сроки
Дата издания:
05-16-24
Дата введения в действие:
01-01-25
Дата завершения срока действия:
-
Применение и описание
Область и условия применения:
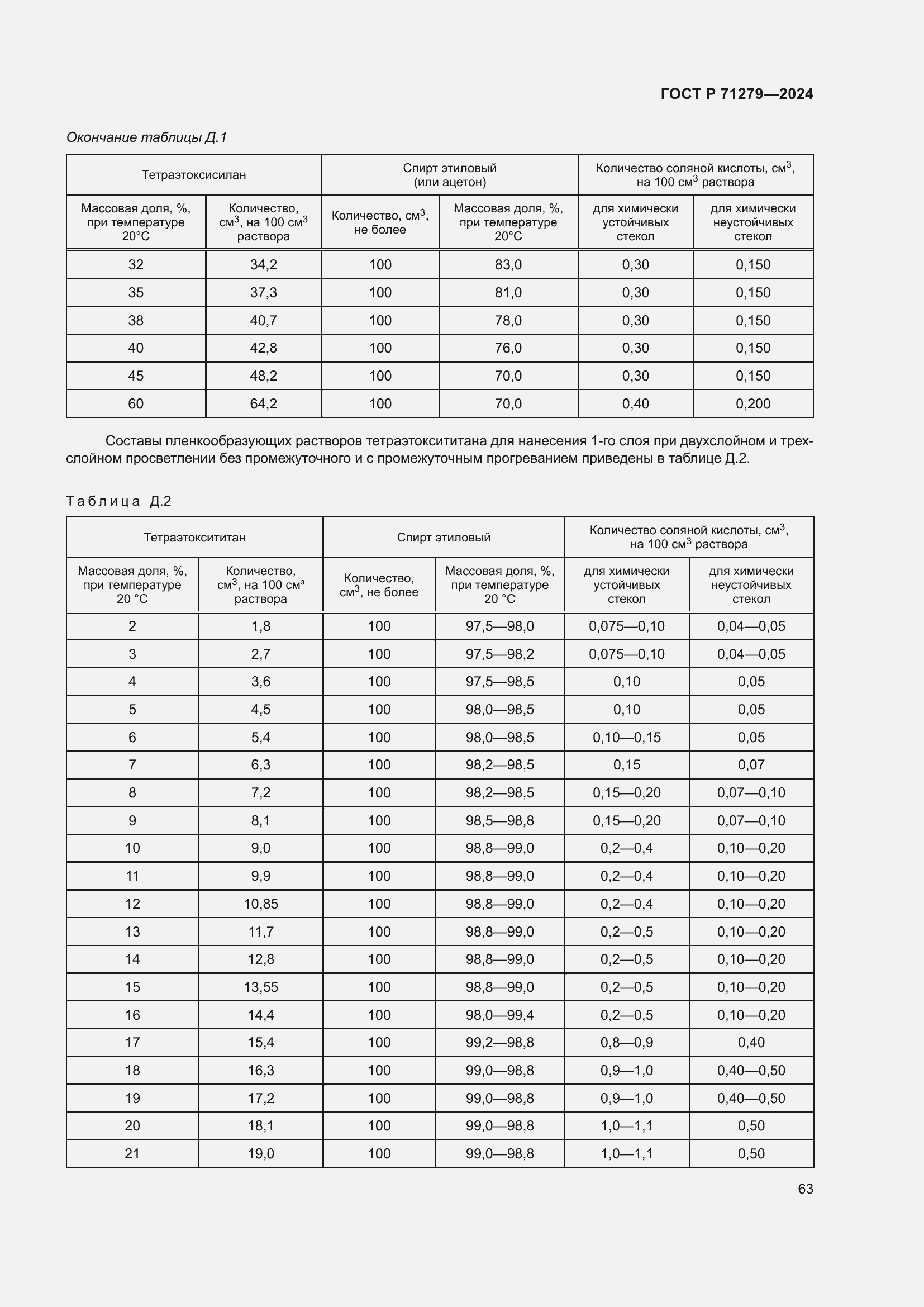
Настоящий стандарт распространяется на оптические детали диаметром от 7 до 1000 мм, изготовленные из силикатного стекла в трех сериях (0, 100 и 200), кварцевого стекла по ГОСТ 15130, и детали диаметром от 7 до 250 мм из кристаллов фтористого кальция и фтористого бария (далее – детали) и устанавливает типовые технологические процессы (ТТП) нанесения химическим методом на поверхность деталей одно-, двух- и трехслойных просветляющих покрытий для области спектра от 0,22 до 2,0 мкм из спиртовых пленкообразующих растворов этиловых эфиров ортокремневой (тетраэтоксисилан) и ортотитановой кислот (тетраэтоксититан), азотнокислого тория, хлорокисей гафния и циркония (далее – нанесение просветляющих покрытий, просветление деталей)
Связи и замены
Заменяющий:
-
Описание стандарта
ГОСТ Р 71279-2024 Оптика и фотоника. Детали оптические. Типовые технологические процессы нанесения одно-, двух- и трехслойных просветляющих покрытий из растворов
Страницы стандарта

























































































