ГОСТ Р 71360-2024 Дороги автомобильные общего пользования. Технический учет и паспортизация. Общие технические требования
ГОСТ Р
Скачать ГОСТ в PDF или DOC бесплатно
Основная информация
Обозначение:
ГОСТ Р 71360-2024
Статус:
Действует
Тип:
ГОСТ Р
Название русское:
Дороги автомобильные общего пользования. Технический учет и паспортизация. Общие технические требования
Название английское:
Automobile roads of general use. Technical accounting and passportization. General technical requirements
Даты и сроки
Дата издания:
05-17-24
Дата введения в действие:
06-01-24
Дата завершения срока действия:
-
Применение и описание
Область и условия применения:
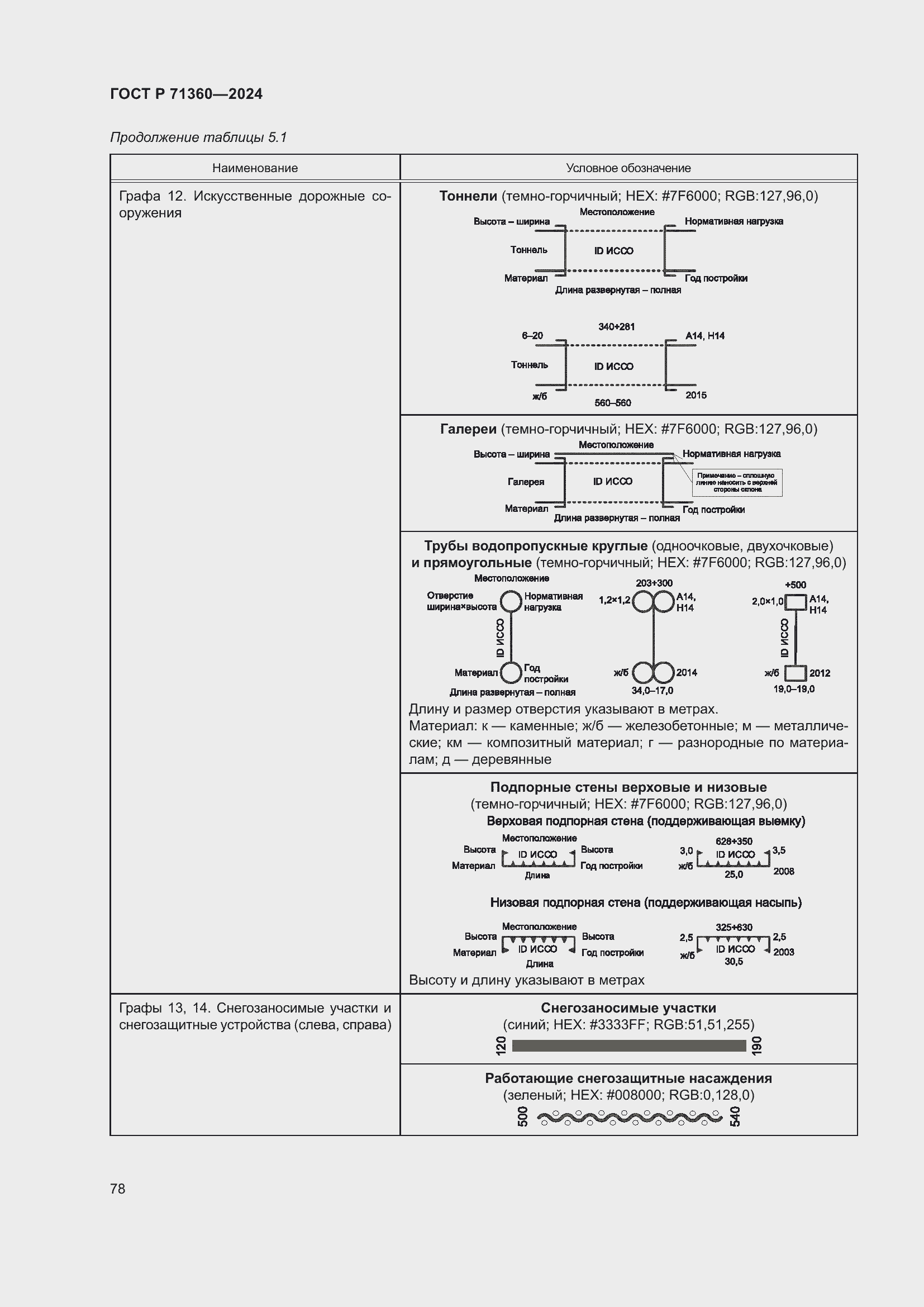
Настоящий стандарт устанавливает минимально необходимые требования к техническому учету и паспортизации автомобильных дорог общего пользования (далее – автомобильные дороги, дороги), вне зависимости от их формы собственности, класса, значения, категории и технического состояния, в том числе требования: - к этапам проведения работ по техническому учету и паспортизации; - базе данных технического учета и паспортизации; - документации технического учета и паспортизации; - срокам, порядку проведения и обновления данных
Связи и замены
Заменяющий:
-
Описание стандарта
ГОСТ Р 71360-2024 Дороги автомобильные общего пользования. Технический учет и паспортизация. Общие технические требования
Страницы стандарта










































































































































































































