ГОСТ Р 71434-2024 Приборы ферритовые сверхвысокочастотного диапазона. Методы измерения обратных потерь на низком уровне мощности
ГОСТ Р
Скачать ГОСТ в PDF или DOC бесплатно
Основная информация
Обозначение:
ГОСТ Р 71434-2024
Статус:
Действует
Тип:
ГОСТ Р
Название русское:
Приборы ферритовые сверхвысокочастотного диапазона. Методы измерения обратных потерь на низком уровне мощности
Название английское:
Microwave ferrite devices. Methods of measurement of return losses at low power level
Даты и сроки
Дата издания:
06-19-24
Дата введения в действие:
03-01-25
Дата завершения срока действия:
-
Применение и описание
Область и условия применения:
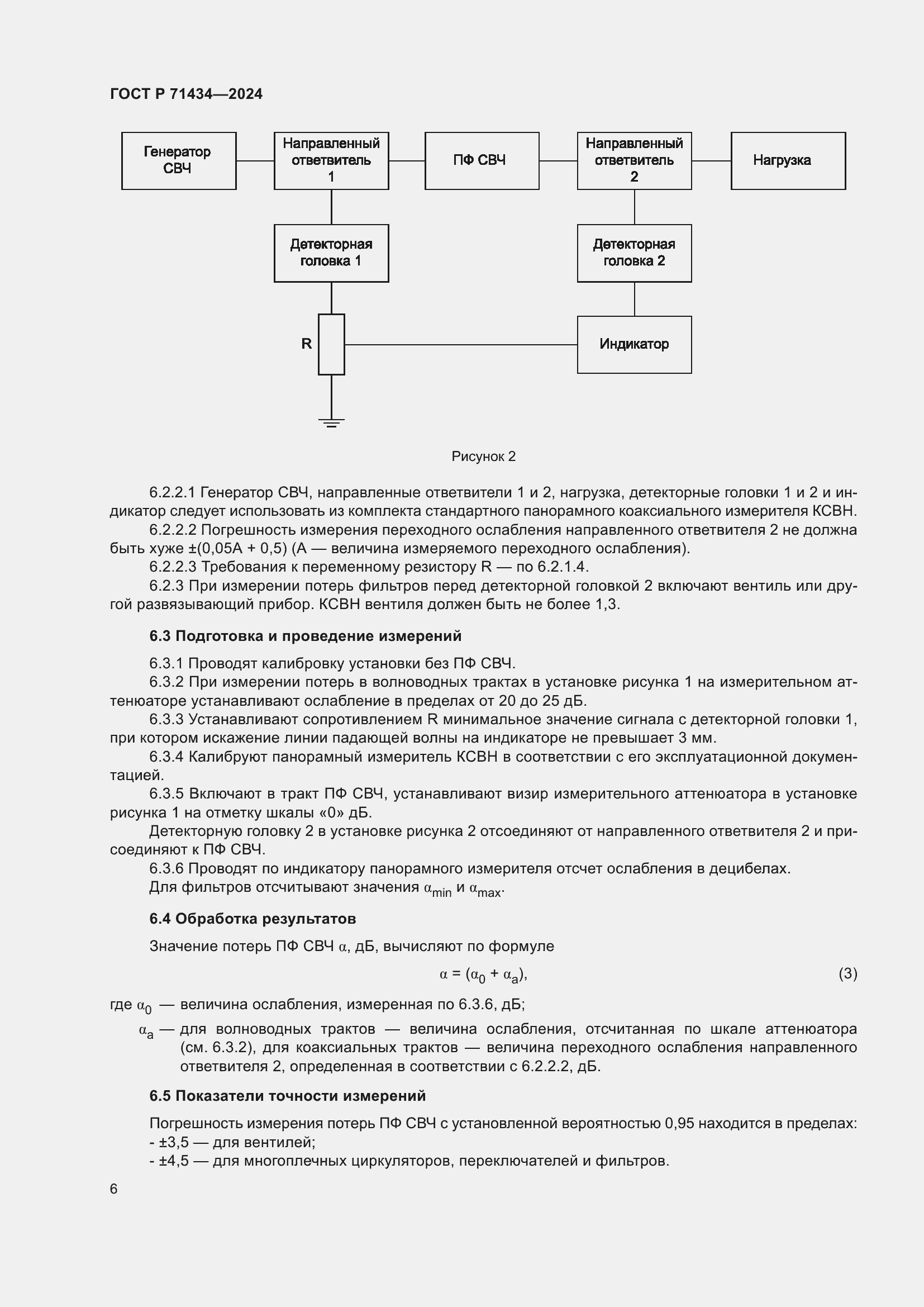
Настоящий стандарт распространяется на приборы ферритовые сверхвысокочастотного диапазона (ПФ СВЧ) низкого уровня мощности и устанавливает методы измерения обратных потерь вентилей, развязок между каналами циркуляторов и переключателей, кроме трехплечных, заграждения фильтров, неравномерности потерь в полосе заграждения фильтров, уровня паразитных резонансов фильтров (далее потери)
Связи и замены
Заменяющий:
-
Описание стандарта
ГОСТ Р 71434-2024 Приборы ферритовые сверхвысокочастотного диапазона. Методы измерения обратных потерь на низком уровне мощности
Страницы стандарта











