ГОСТ Р 71451-2024 Авиационная техника. Резьба метрическая с увеличенной закругленной формой впадины для диаметров от 1 до 200 мм. Основные размеры и допуски
ГОСТ Р
Скачать ГОСТ в PDF или DOC бесплатно
Основная информация
Обозначение:
ГОСТ Р 71451-2024
Статус:
Действует
Тип:
ГОСТ Р
Название русское:
Авиационная техника. Резьба метрическая с увеличенной закругленной формой впадины для диаметров от 1 до 200 мм. Основные размеры и допуски
Название английское:
Aviation technic. Metric thread with increased round down shape for diameters from 1 to 200 mm. Basic dimensions and tolerances
Даты и сроки
Дата издания:
06-24-24
Дата введения в действие:
08-01-24
Применение и описание
Область и условия применения:
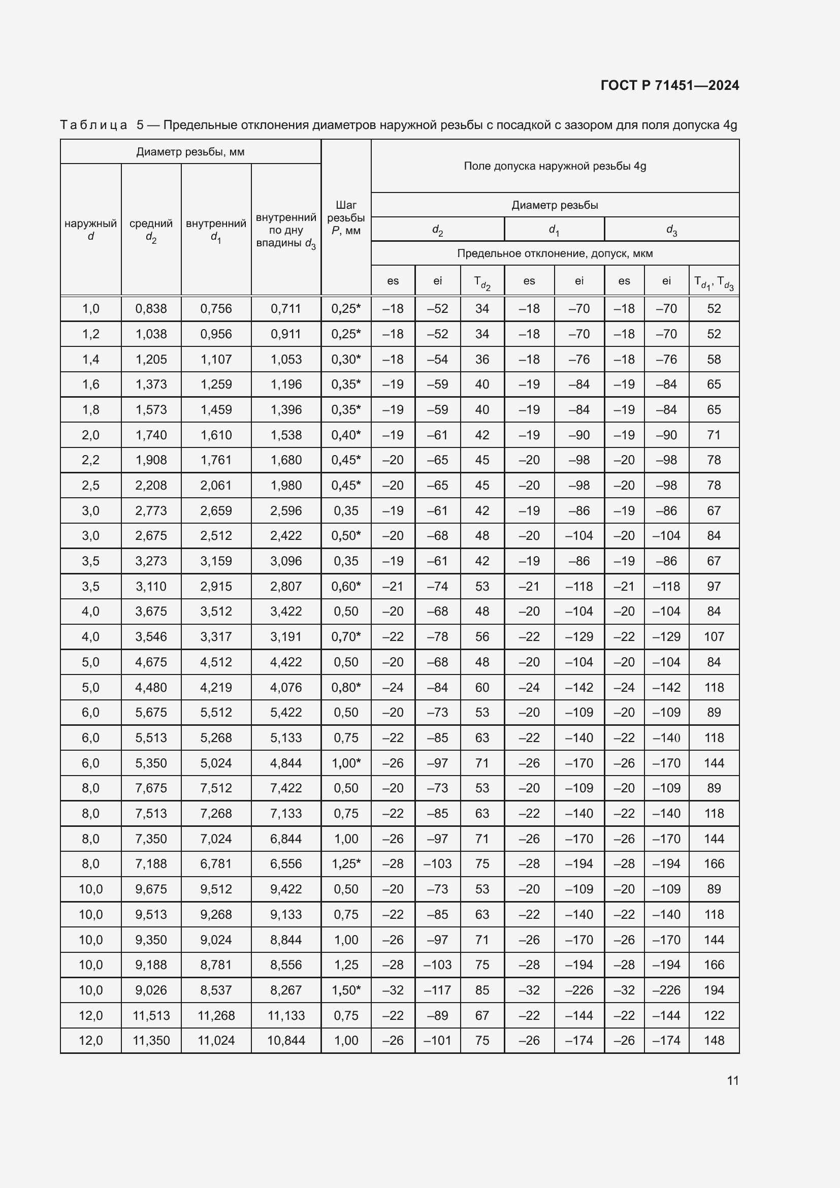
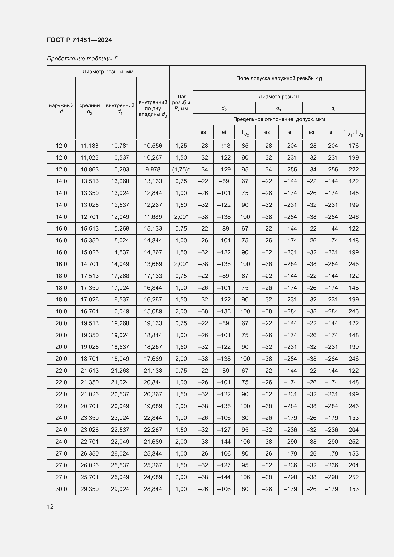
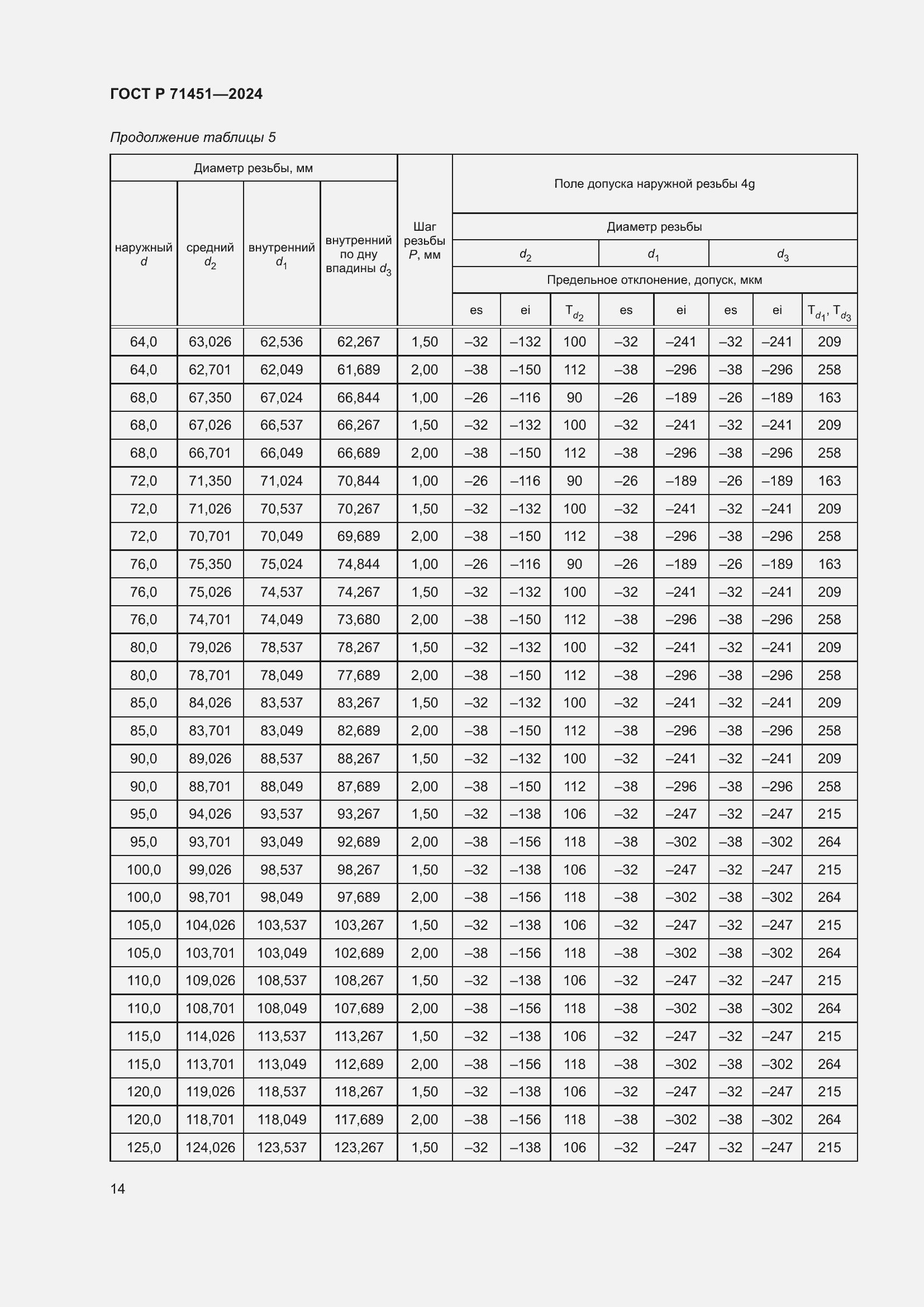
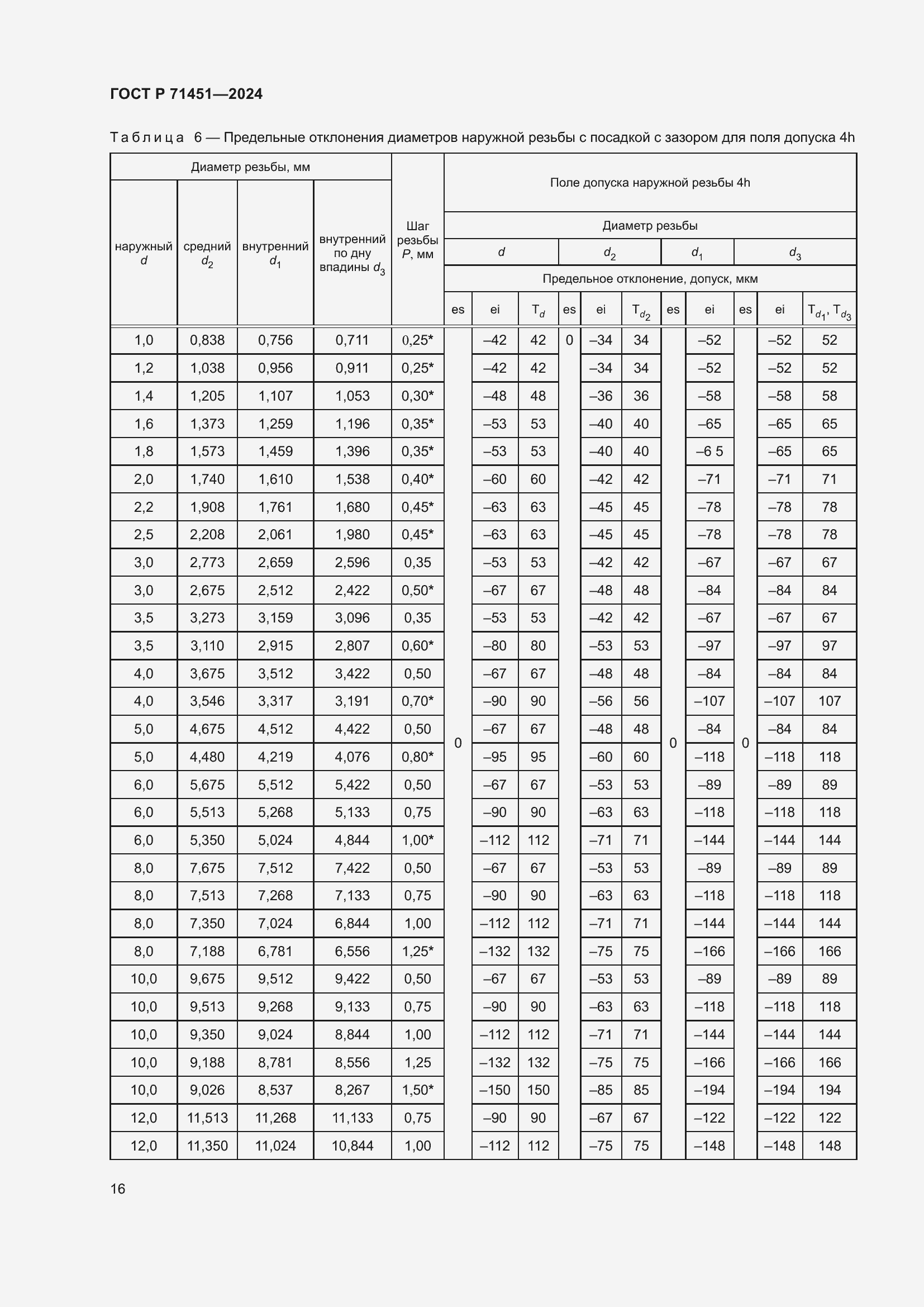
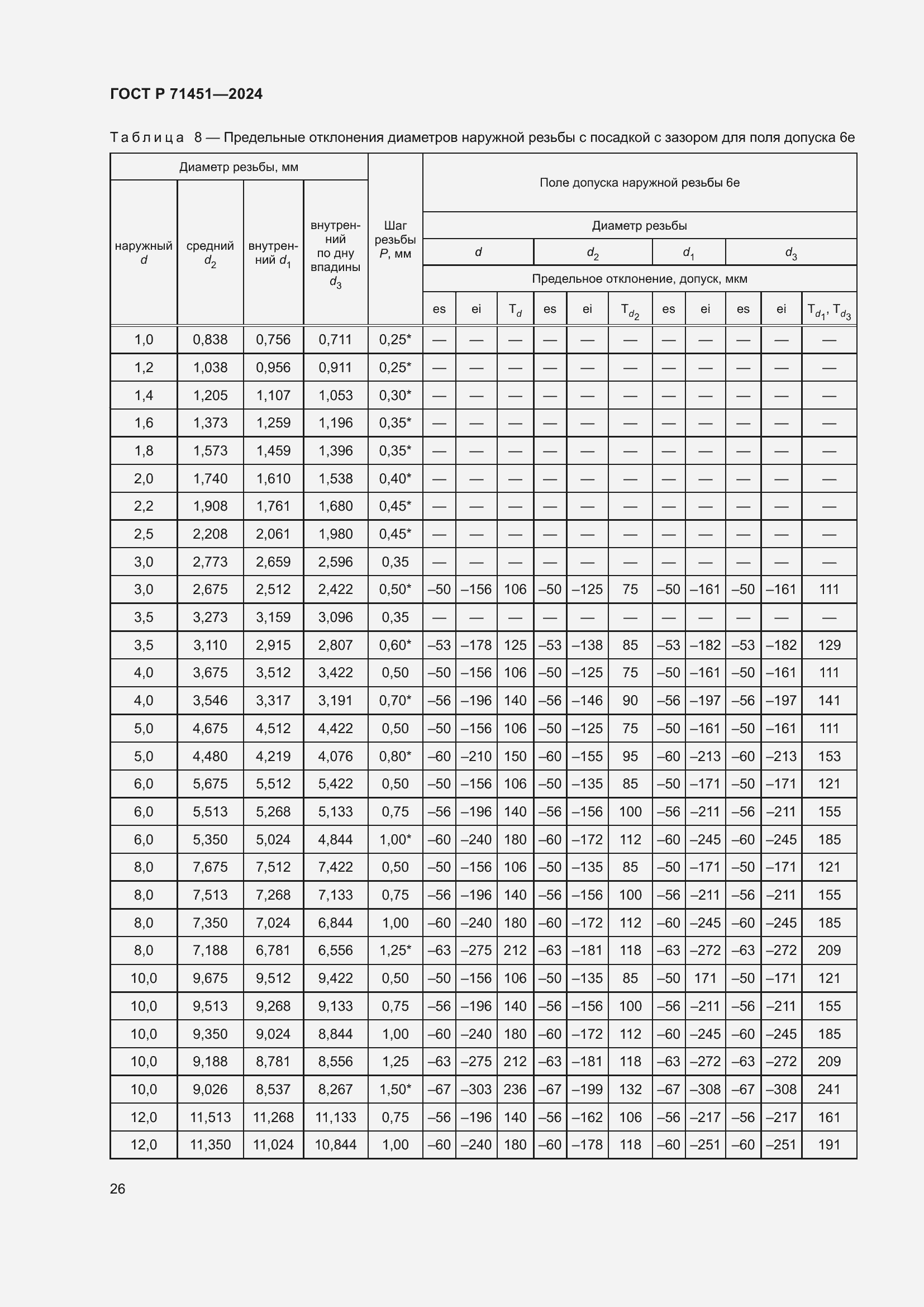
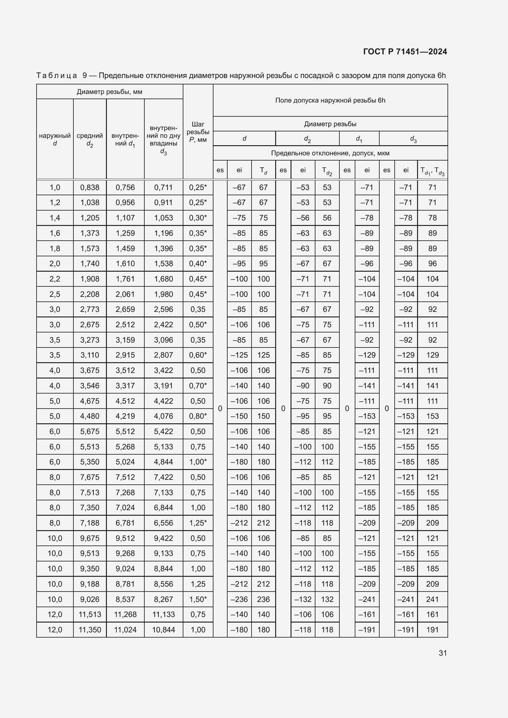
Настоящий стандарт распространяется на метрические резьбы (далее ? резьбы), применяемые в авиационной технике, с увеличенной закругленной формой впадины наружной резьбы, с увеличенным внутренним диаметром внутренней резьбы и устанавливает их диаметры в диапазоне от 1 до 200 мм и шаги от 0,25 до 2,00 мм по ГОСТ 8724, систему допусков по ГОСТ 16093
Описание стандарта
ГОСТ Р 71451-2024 Авиационная техника. Резьба метрическая с увеличенной закругленной формой впадины для диаметров от 1 до 200 мм. Основные размеры и допуски
Страницы стандарта

























































