ГОСТ Р 71522-2024 Оптика и фотоника. Винты для оптического приборостроения. Конструкция и размеры
ГОСТ Р
Скачать ГОСТ в PDF или DOC бесплатно
Основная информация
Обозначение:
ГОСТ Р 71522-2024
Статус:
Действует
Тип:
ГОСТ Р
Название русское:
Оптика и фотоника. Винты для оптического приборостроения. Конструкция и размеры
Название английское:
Optics and photonics. Screws for optical instrument making. Design and dimensions
Даты и сроки
Дата издания:
08-01-24
Дата введения в действие:
01-01-25
Дата завершения срока действия:
-
Применение и описание
Область и условия применения:
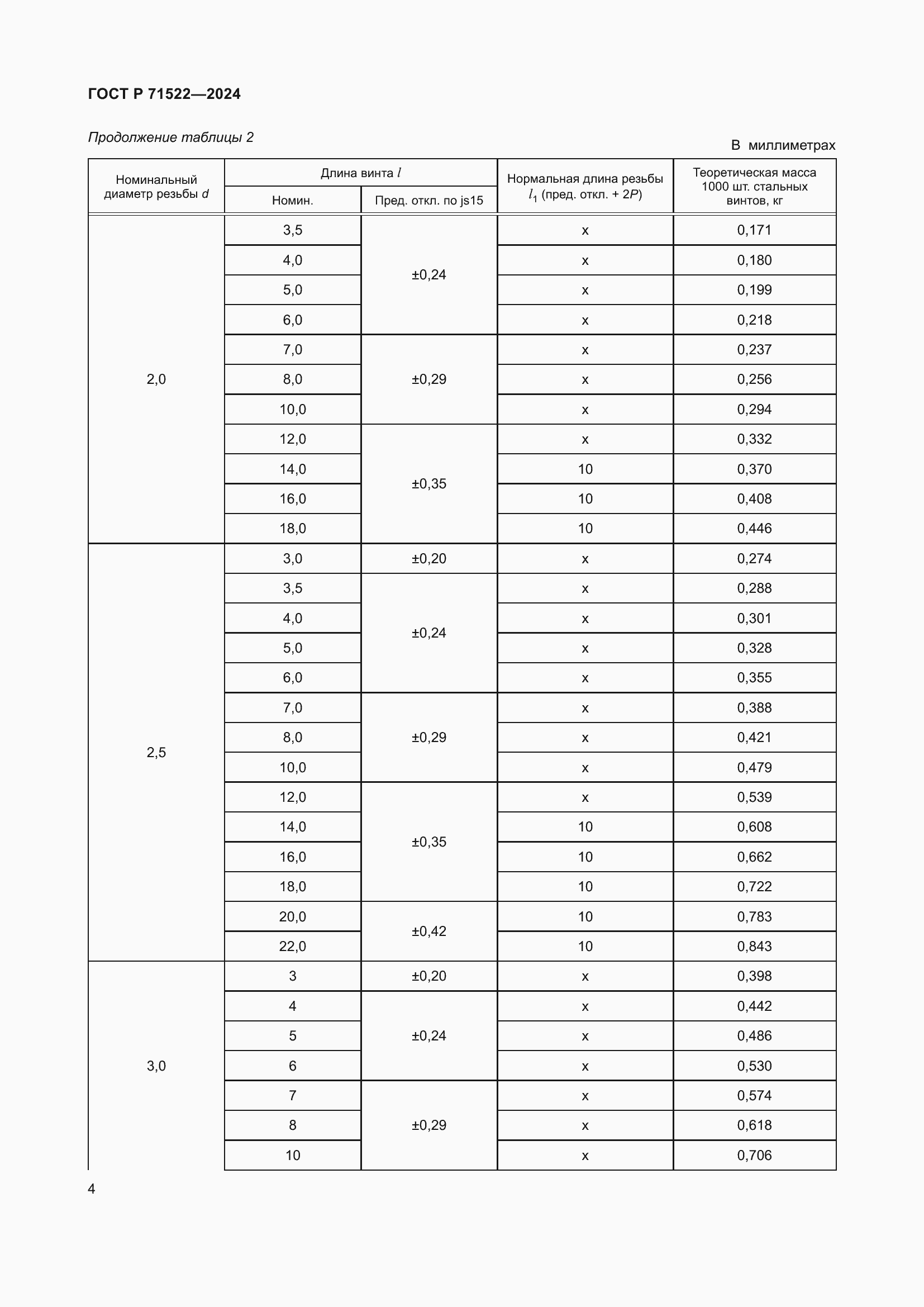
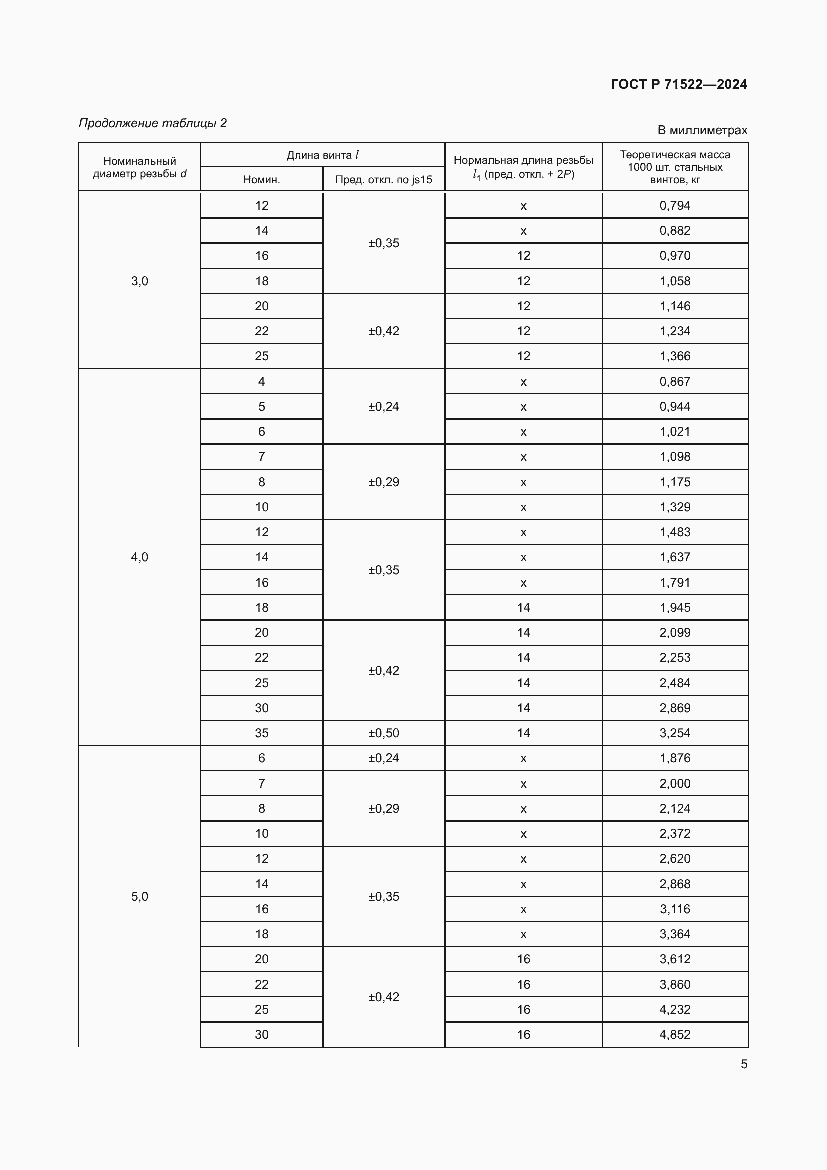
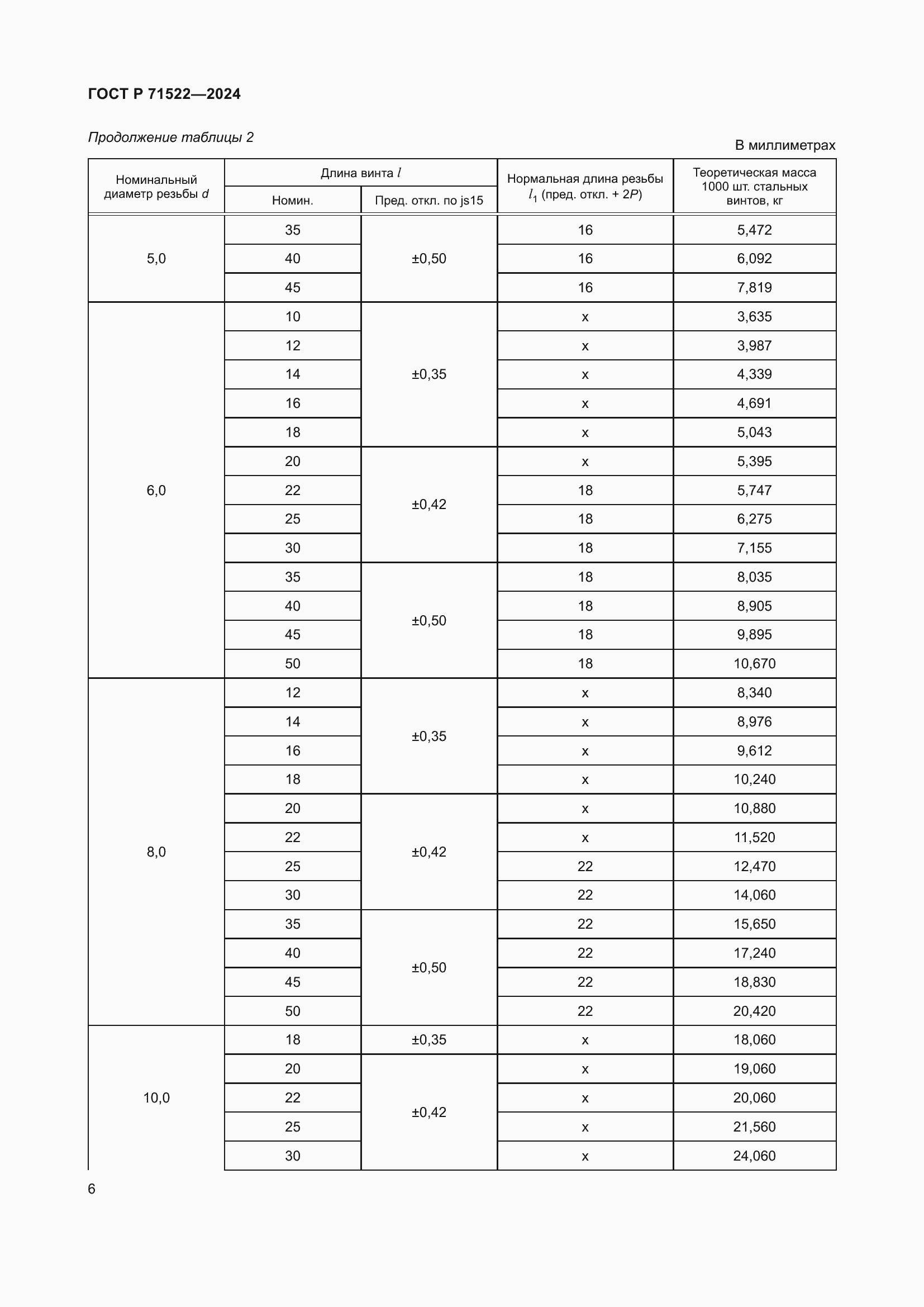
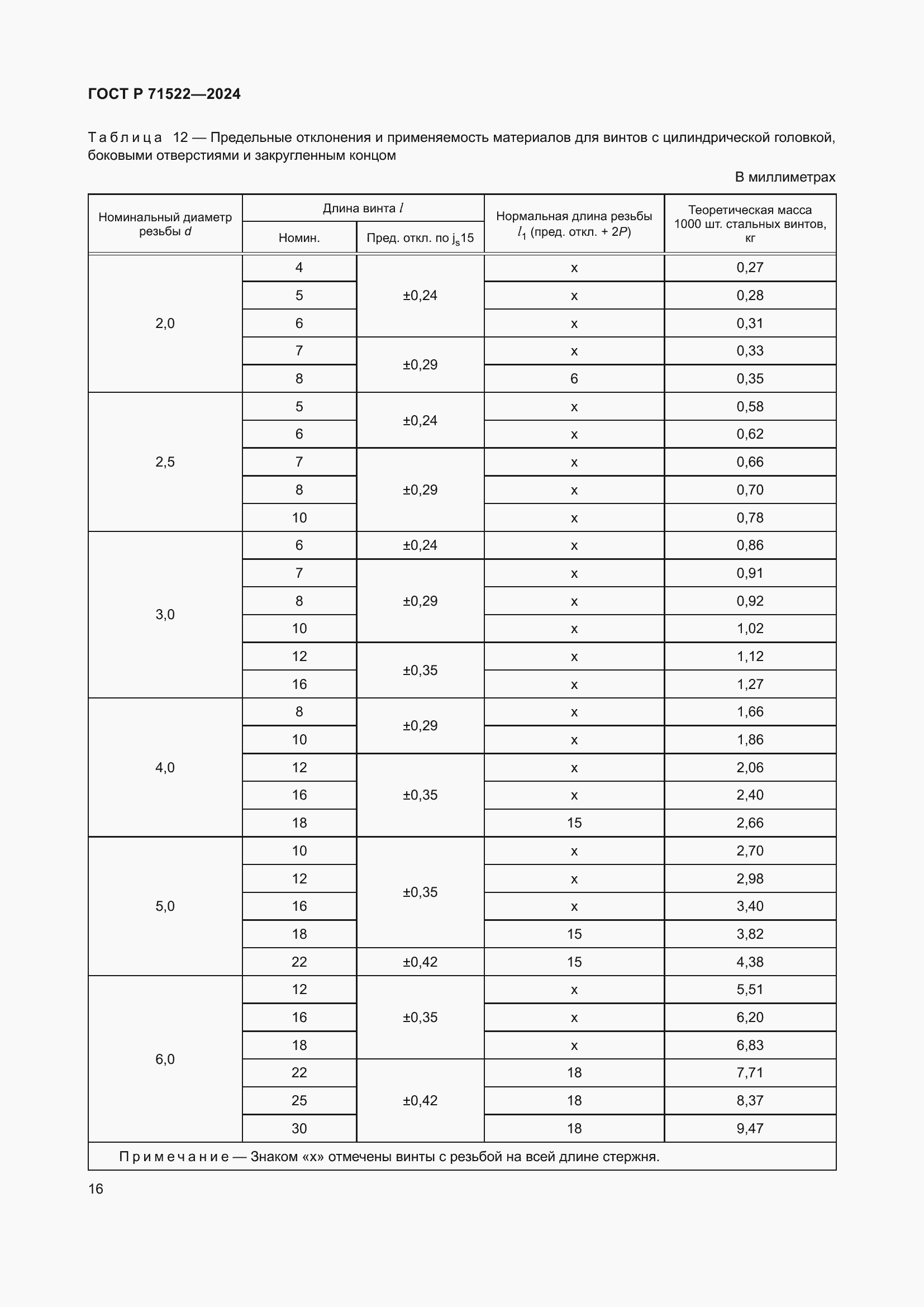
Настоящий стандарт распространяется на винты для оптического приборостроения и устанавливает их конструкцию и размеры
Связи и замены
Заменяющий:
-
Описание стандарта
ГОСТ Р 71522-2024 Оптика и фотоника. Винты для оптического приборостроения. Конструкция и размеры
Страницы стандарта



































