ГОСТ Р 71615-2024 Машины землеройные. Машины высокоавтоматизированные землеройные и дорожно-строительные. Технические требования и методы испытаний
ГОСТ Р
Скачать ГОСТ в PDF или DOC бесплатно
Основная информация
Обозначение:
ГОСТ Р 71615-2024
Статус:
Действует
Тип:
ГОСТ Р
Название русское:
Машины землеройные. Машины высокоавтоматизированные землеройные и дорожно-строительные. Технические требования и методы испытаний
Название английское:
Earth moving machines. Highly automated earth-moving and road-building machines. Technical requirements and test methods
Даты и сроки
Дата издания:
09-30-24
Дата введения в действие:
01-01-25
Дата завершения срока действия:
-
Применение и описание
Область и условия применения:
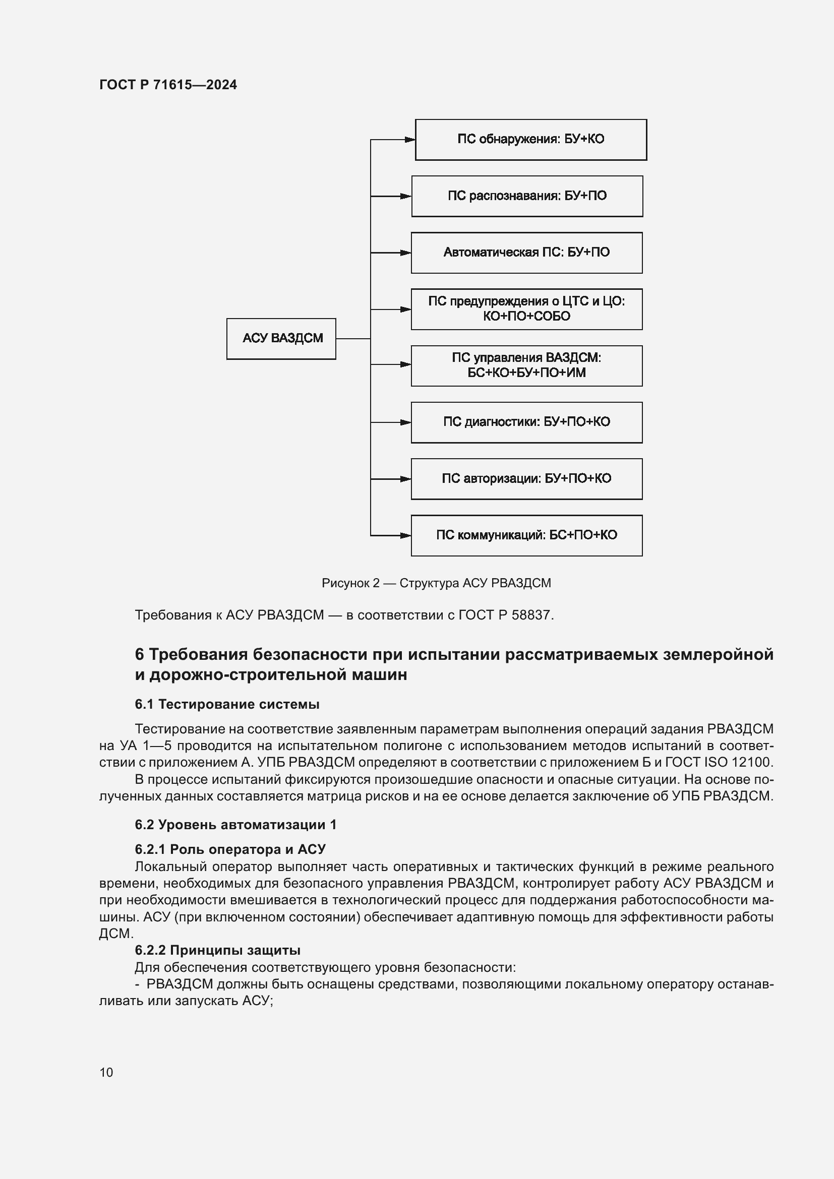
Настоящий стандарт устанавливает требования и методы испытаний в отношении безопасности работы автоматизированной системы управления в совокупности с исполнительными механизмами землеройных и дорожно-строительных машин, в зависимости от их уровня автоматизации, путем анализа отказов и составления матрицы рисков. Настоящий стандарт не относится к области испытаний землеройной и дорожно-строительной техники на соответствие ее технических параметров выполнению дорожно-строительных работ
Связи и замены
Заменяющий:
-
Описание стандарта
ГОСТ Р 71615-2024 Машины землеройные. Машины высокоавтоматизированные землеройные и дорожно-строительные. Технические требования и методы испытаний
Страницы стандарта





























































