ГОСТ Р 71993-2025 Трубы бесшовные и сварные из аустенитной нержавеющей стали. Технические условия
ГОСТ Р
Скачать ГОСТ в PDF или DOC бесплатно
Основная информация
Обозначение:
ГОСТ Р 71993-2025
Статус:
Действует
Тип:
ГОСТ Р
Название русское:
Трубы бесшовные и сварные из аустенитной нержавеющей стали. Технические условия
Название английское:
Seamless and welded austenitic stainless steel pipes. Technical specifications
Даты и сроки
Дата издания:
04-24-25
Дата введения в действие:
09-01-25
Дата завершения срока действия:
-
Применение и описание
Область и условия применения:
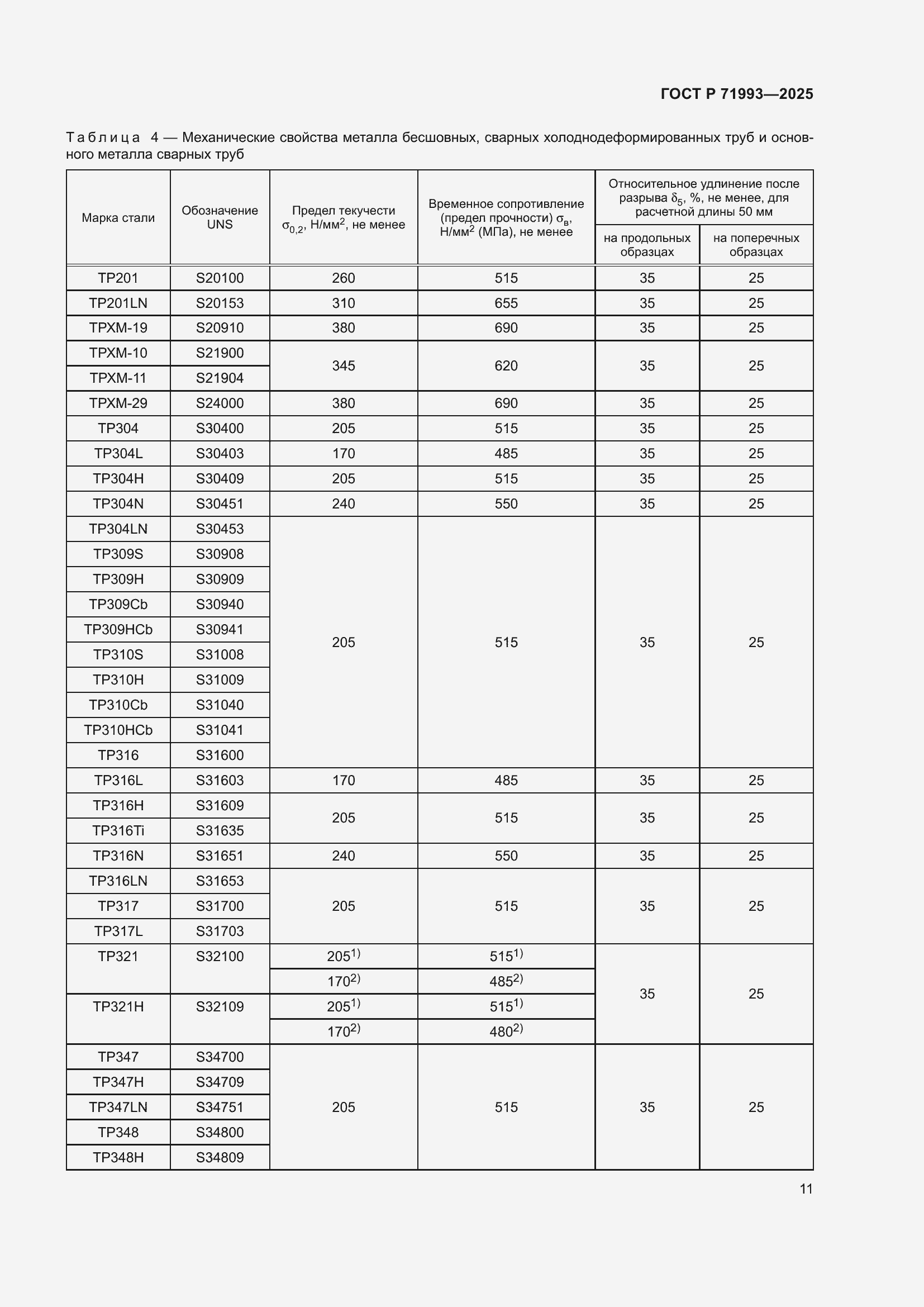
Настоящий стандарт распространяется на бесшовные, сварные холоднодеформированные и сварные трубы из сталей аустенитного класса, применяемые для эксплуатации в условиях высоких температур и в коррозионных средах
Связи и замены
Заменяющий:
-
Описание стандарта
ГОСТ Р 71993-2025 Трубы бесшовные и сварные из аустенитной нержавеющей стали. Технические условия
Страницы стандарта



























