ГОСТ Р 72000-2025 Дороги автомобильные общего пользования. Фибробетон сверхпрочный со стальной фиброй для мостовых конструкций. Технические условия
ГОСТ Р
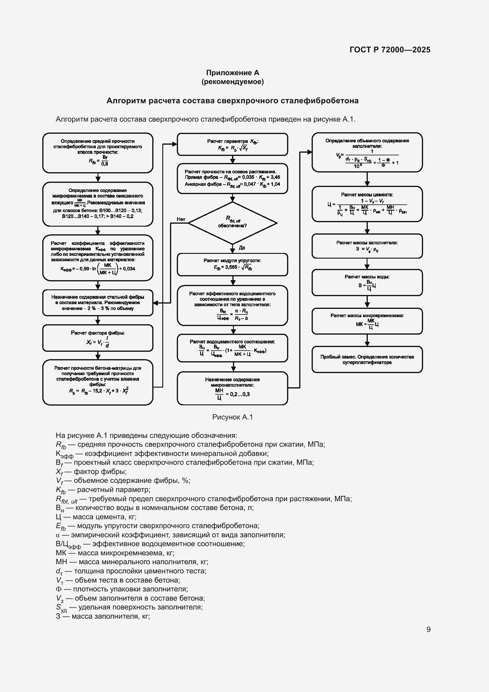
Скачать ГОСТ в PDF или DOC бесплатно
Основная информация
Обозначение:
ГОСТ Р 72000-2025
Статус:
Действует
Тип:
ГОСТ Р
Название русское:
Дороги автомобильные общего пользования. Фибробетон сверхпрочный со стальной фиброй для мостовых конструкций. Технические условия
Название английское:
Automobile roads of general use. Ultra-high performance fiber reinforced concrete for bridge structures. Specifications
Даты и сроки
Дата издания:
04-04-25
Дата введения в действие:
05-01-25
Дата завершения срока действия:
-
Применение и описание
Область и условия применения:
Настоящий стандарт распространяется на сверхпрочные бетоны на цементных вяжущих и плотных заполнителях, дисперсно-армированные стальной фиброй классов по прочности на сжатие от Вf120 до Вf180 (далее – сверхпрочные сталефибробетоны), применяемые для проектирования, строительства, реконструкции, капитального ремонта и ремонта искусственных дорожных мостовых сооружений и конструкций, со сроком эксплуатации не менее 100 лет по ГОСТ 27751
Связи и замены
Заменяющий:
-
Описание стандарта
ГОСТ Р 72000-2025 Дороги автомобильные общего пользования. Фибробетон сверхпрочный со стальной фиброй для мостовых конструкций. Технические условия
Страницы стандарта























