ГОСТ Р 8.1032-2024 Ацетон жидкий и газообразный. Плотность, энтальпия, энтропия, изохорная и изобарная теплоемкости при температурах от 180 К до 550 К и давлениях до 100 МПа
ГОСТ Р
Скачать ГОСТ в PDF или DOC бесплатно
Основная информация
Обозначение:
ГОСТ Р 8.1032-2024
Статус:
Действует
Тип:
ГОСТ Р
Название русское:
Ацетон жидкий и газообразный. Плотность, энтальпия, энтропия, изохорная и изобарная теплоемкости при температурах от 180 К до 550 К и давлениях до 100 МПа
Название английское:
Acetone liquid and gaseous. Density, enthalpy, entropy, isochoric and isobaric heat capacities at temperatures from 180 K to 550 K and pressures up to 100 MPa
Даты и сроки
Дата издания:
03-18-24
Дата введения в действие:
12-01-24
Дата завершения срока действия:
-
Применение и описание
Область и условия применения:
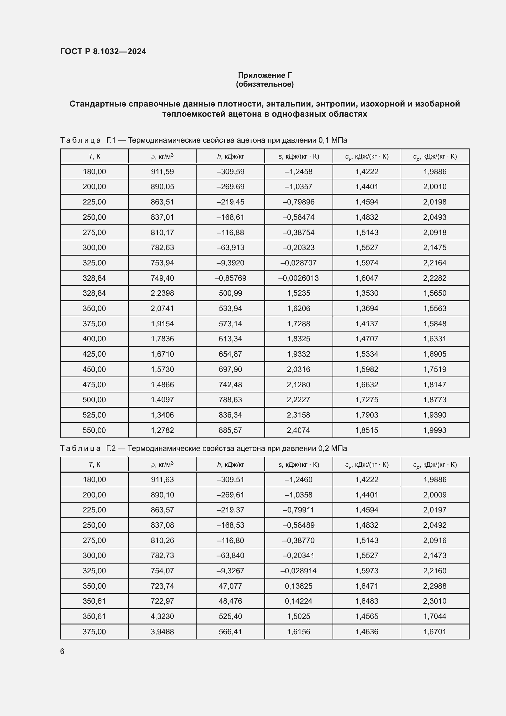
Настоящий стандарт распространяется на ацетон, параметры состояния которого соответствуют газообразной, жидкой и сверхкритической областям. Стандарт устанавливает методы расчетного определения значений стандартных справочных данных по плотности , энтальпии h, энтропии s, изобарной теплоемкости cp и изохорной теплоемкости cv в однофазных областях (газ, жидкость и флюид)
Связи и замены
Заменяющий:
-
Описание стандарта
ГОСТ Р 8.1032-2024 Ацетон жидкий и газообразный. Плотность, энтальпия, энтропия, изохорная и изобарная теплоемкости при температурах от 180 К до 550 К и давлениях до 100 МПа
Страницы стандарта























