ГОСТ Р 8.1034-2024 Бериллий. Температурный коэффициент линейного расширения и удельная теплоемкость в диапазоне температур от 260 К до 870 К
ГОСТ Р
Скачать ГОСТ в PDF или DOC бесплатно
Основная информация
Обозначение:
ГОСТ Р 8.1034-2024
Статус:
Действует
Тип:
ГОСТ Р
Название русское:
Бериллий. Температурный коэффициент линейного расширения и удельная теплоемкость в диапазоне температур от 260 К до 870 К
Название английское:
Beryllium. Temperature coefficient of linear expansion and specific heat in the temperature range from 260 K to 870 K
Даты и сроки
Дата издания:
03-11-24
Дата введения в действие:
12-01-24
Дата завершения срока действия:
-
Применение и описание
Область и условия применения:
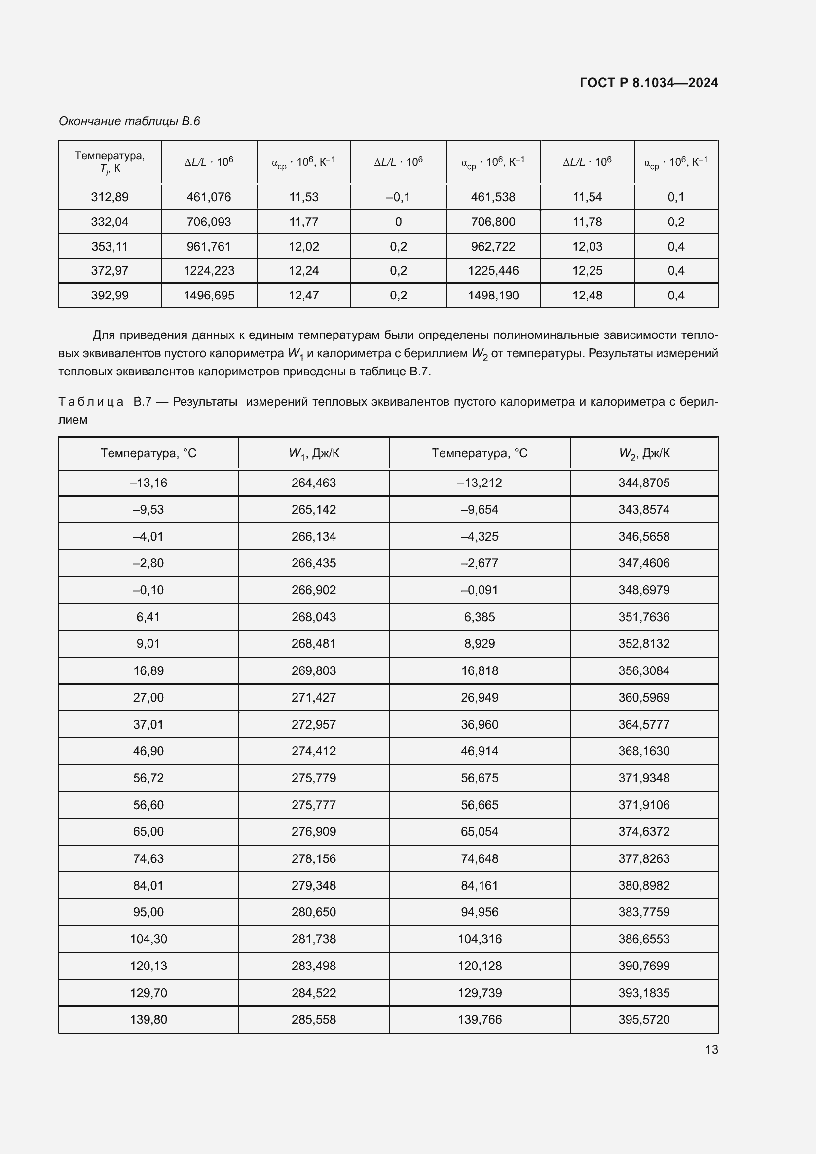
Настоящий стандарт распространяется на стандартные справочные данные (ССД) о температурном коэффициенте линейного расширения (ТКЛР) и удельной теплоемкости бериллия в диапазоне температуры от 260 К до 870 К. Характеристики исследуемого материала приведены в приложении А. Описание оборудования представлено в приложении Б
Связи и замены
Заменяющий:
-
Описание стандарта
ГОСТ Р 8.1034-2024 Бериллий. Температурный коэффициент линейного расширения и удельная теплоемкость в диапазоне температур от 260 К до 870 К
Страницы стандарта



























