ГОСТ Р ИСО 10993-14-2001 Изделия медицинские. Оценка биологического действия медицинских изделий. Часть 14. Идентификация и количественное определение продуктов деструкции керамики
ГОСТ Р ИСО
Скачать ГОСТ в PDF или DOC бесплатно
Основная информация
Обозначение:
ГОСТ Р ИСО 10993-14-2001
Статус:
Заменен
Тип:
ГОСТ Р ИСО
Название русское:
Изделия медицинские. Оценка биологического действия медицинских изделий. Часть 14. Идентификация и количественное определение продуктов деструкции керамики
Название английское:
Medical devices. Biological evaluation of medical devices. Part 14. Identification and quantification of degradation products from ceramics
Даты и сроки
Дата издания:
01-10-02
Дата введения в действие:
01-01-03
Дата завершения срока действия:
09-01-10
Применение и описание
Область и условия применения:
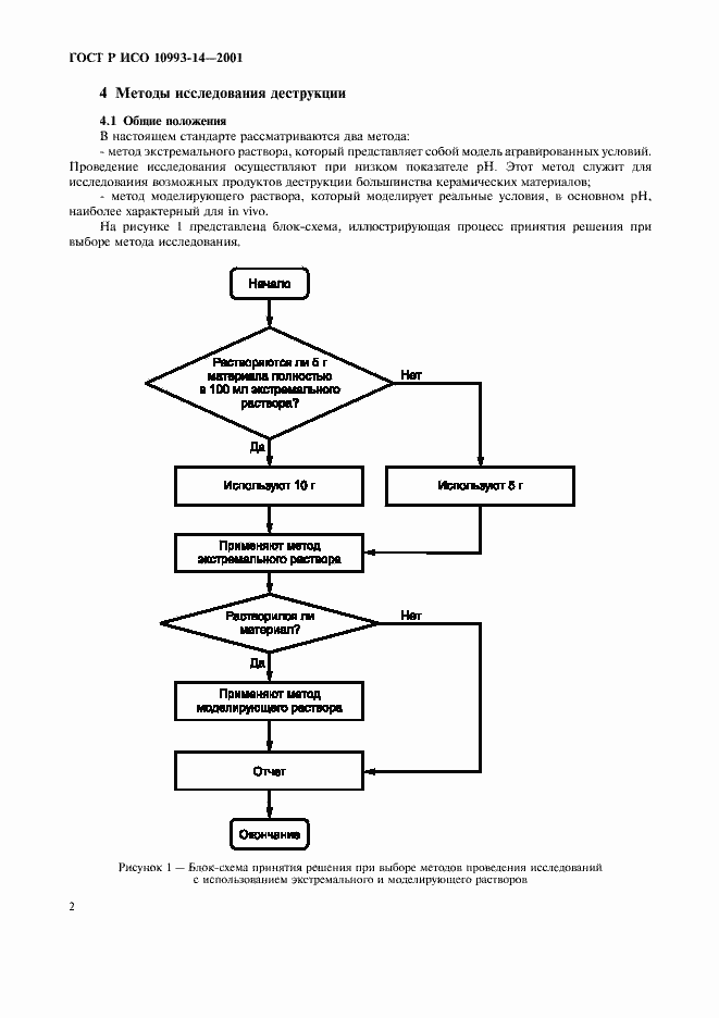
Настоящий стандарт распространяется на исследование деструкции керамических материалов, которая возникает в результате изменения химических свойств готового к употреблению медицинского изделия, и устанавливает методы идентификации и количественного определения продуктов деструкции: - метод экстремального раствора- метод ускоренного изучения деструкции; - метод моделирующего раствора - метод изучения деструкции в реальном времени. Стандарт не распространяется на методы исследования деструкции керамических материалов, которая вызвана механической нагрузкой, энергией внешних излучений различной природы или износом во время применения по назначению, а также на оценку биологического действия продуктов деструкции
Связи и замены
Заменяющий:
ГОСТ Р ИСО 10993-14-2009
Описание стандарта
ГОСТ Р ИСО 10993-14-2001 Изделия медицинские. Оценка биологического действия медицинских изделий. Часть 14. Идентификация и количественное определение продуктов деструкции керамики
Страницы стандарта











