ГОСТ Р 8.761-2011 Государственная система обеспечения единства измерений. Государственная поверочная схема для средств измерений импульсного электрического напряжения
ГОСТ Р
Скачать ГОСТ в PDF или DOC бесплатно
Основная информация
Обозначение:
ГОСТ Р 8.761-2011
Статус:
Отменен
Тип:
ГОСТ Р
Название русское:
Государственная система обеспечения единства измерений. Государственная поверочная схема для средств измерений импульсного электрического напряжения
Название английское:
State system for ensuring the uniformity of measurements. State verification schedule for means measuring the impulse electrical voltage
Даты и сроки
Дата издания:
12-23-13
Дата введения в действие:
01-01-13
Дата завершения срока действия:
01-01-23
Применение и описание
Область и условия применения:
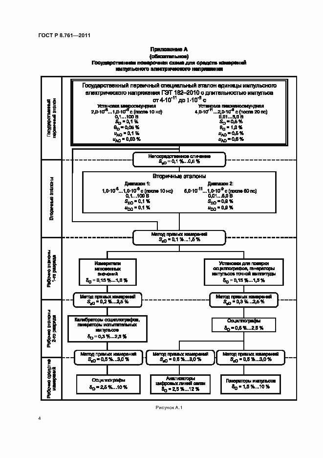
Настоящий стандарт распространяется на государственную поверочную схему для средств измерений импульсного электрического напряжения и устанавливает порядок передачи единицы импульсного электрического напряжения - вольта от государственного первичного специального эталона единицы импульсного электрического напряжения с помощью вторичных и рабочих эталонов рабочим средствам измерений с указанием погрешностей и основных методов поверки
Связи и замены
Заменяющий:
-
Описание стандарта
ГОСТ Р 8.761-2011 Государственная система обеспечения единства измерений. Государственная поверочная схема для средств измерений импульсного электрического напряжения
Страницы стандарта







