ГОСТ Р 8.928-2016 Государственная система обеспечения единства измерений. Теплота сгорания твердого минерального топлива. Экспертная оценка результатов измерений, полученных в разных лабораториях
ГОСТ Р
Скачать ГОСТ в PDF или DOC бесплатно
Основная информация
Обозначение:
ГОСТ Р 8.928-2016
Статус:
Действует
Тип:
ГОСТ Р
Название русское:
Государственная система обеспечения единства измерений. Теплота сгорания твердого минерального топлива. Экспертная оценка результатов измерений, полученных в разных лабораториях
Название английское:
State system for ensuring the uniformity of measurements. Expert evaluation of test results obtained from different laboratories
Даты и сроки
Дата издания:
03-20-19
Дата введения в действие:
07-01-17
Дата завершения срока действия:
-
Применение и описание
Область и условия применения:
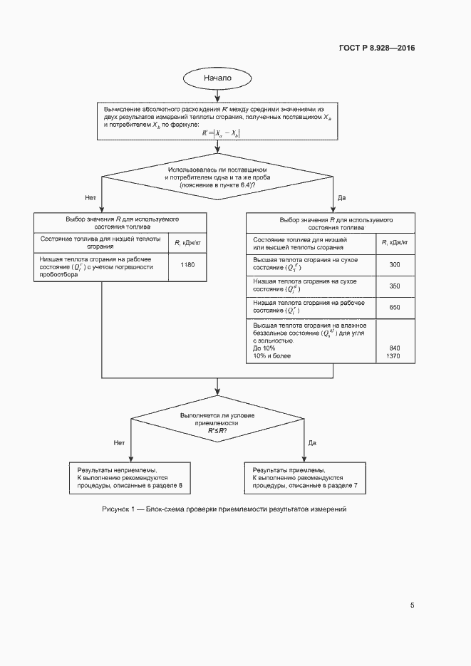
Настоящий стандарт распространяется на бурые и каменные угли, лигниты, антрациты, горючие сланцы, торф, продукты их обогащения и термической обработки, брикеты, кокс, биотопливо, и устанавливает процедуру экспертной оценки результатов измерений теплоты сгорания (высшей или низшей) на различные состояния топлива, полученных в разных лабораториях
Связи и замены
Заменяющий:
-
Описание стандарта
ГОСТ Р 8.928-2016 Государственная система обеспечения единства измерений. Теплота сгорания твердого минерального топлива. Экспертная оценка результатов измерений, полученных в разных лабораториях
Страницы стандарта















