ГОСТ Р ИСО 14015-2024 Экологический менеджмент. Руководящие указания по оценке воздействия организации на окружающую среду
ГОСТ Р ИСО
Скачать ГОСТ в PDF или DOC бесплатно
Основная информация
Обозначение:
ГОСТ Р ИСО 14015-2024
Статус:
Действует
Тип:
ГОСТ Р ИСО
Название русское:
Экологический менеджмент. Руководящие указания по оценке воздействия организации на окружающую среду
Название английское:
Environmental management. Guidelines for environmental due diligence assessment
Даты и сроки
Дата издания:
10-03-24
Дата введения в действие:
01-01-25
Дата завершения срока действия:
-
Применение и описание
Область и условия применения:
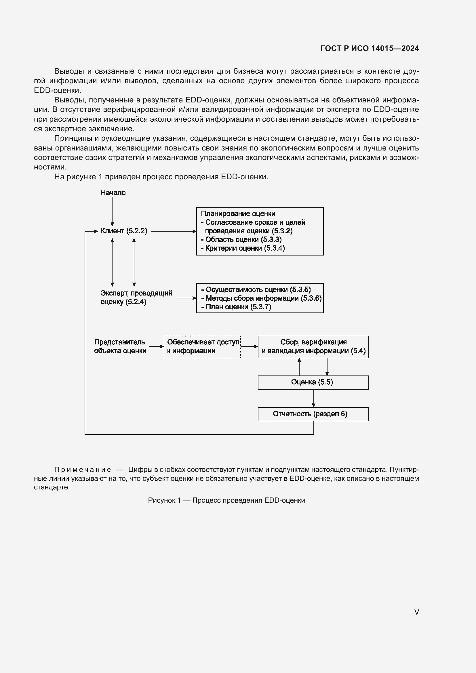
В настоящем стандарте содержатся руководящие указания по проведению EDD-оценки посредством систематического процесса выявления экологических аспектов, проблем и условий, а также определения, при необходимости, их бизнес последствий. Настоящий стандарт не содержит руководящих указаний по проведению других видов экологической оценки, таких как: a) экологические аудиты; b) оценки воздействия на окружающую среду; c) оценка экологической результативности, эффективности или надежности; d) интрузивные экологические исследования и восстановительные мероприятия
Связи и замены
Заменяющий:
-
Взамен:
ГОСТ Р ИСО 14015-2007
Описание стандарта
ГОСТ Р ИСО 14015-2024 Экологический менеджмент. Руководящие указания по оценке воздействия организации на окружающую среду
Страницы стандарта



























