ГОСТ Р ИСО 14068-1-2024 Управление изменением климата. Переход к нулевому уровню выбросов. Часть 1. Углеродная нейтральность
ГОСТ Р ИСО
Скачать ГОСТ в PDF или DOC бесплатно
Основная информация
Обозначение:
ГОСТ Р ИСО 14068-1-2024
Статус:
Действует
Тип:
ГОСТ Р ИСО
Название русское:
Управление изменением климата. Переход к нулевому уровню выбросов. Часть 1. Углеродная нейтральность
Название английское:
Climate change management. Transition to net zero. Part 1. Carbon neutrality
Даты и сроки
Дата издания:
10-22-24
Дата введения в действие:
01-01-25
Дата завершения срока действия:
-
Применение и описание
Область и условия применения:
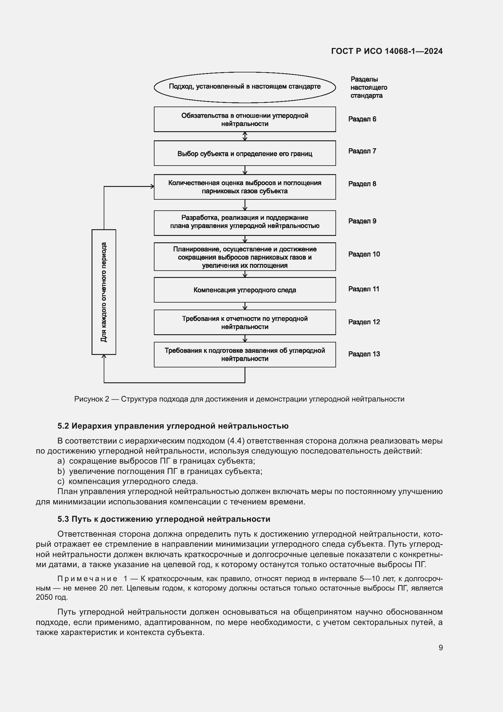
В настоящем стандарте установлены принципы, требования и рекомендации по достижению и демонстрации углеродной нейтральности посредством количественного определения, сокращения и компенсации углеродного следа. Настоящий стандарт устанавливает термины, используемые в области углеродной нейтральности, и содержит руководство по действиям, необходимым для достижения и демонстрации углеродной нейтральности. В соответствии с общепринятой практикой в нем используется слово «углерод» для обозначения всех парниковых газов (ПГ) в сложных выражениях, таких как «углеродная нейтральность»
Связи и замены
Заменяющий:
-
Описание стандарта
ГОСТ Р ИСО 14068-1-2024 Управление изменением климата. Переход к нулевому уровню выбросов. Часть 1. Углеродная нейтральность
Страницы стандарта

















































