ГОСТ Р ИСО 22514-7-2024 Статистические методы. Управление процессами. Часть 7. Воспроизводимость процессов измерений
ГОСТ Р ИСО
Скачать ГОСТ в PDF или DOC бесплатно
Основная информация
Обозначение:
ГОСТ Р ИСО 22514-7-2024
Статус:
Действует
Тип:
ГОСТ Р ИСО
Название русское:
Статистические методы. Управление процессами. Часть 7. Воспроизводимость процессов измерений
Название английское:
Statistical methods. Process management. Part 7. Capability of measurement processes
Даты и сроки
Дата издания:
08-15-24
Дата введения в действие:
01-01-25
Дата завершения срока действия:
-
Применение и описание
Область и условия применения:
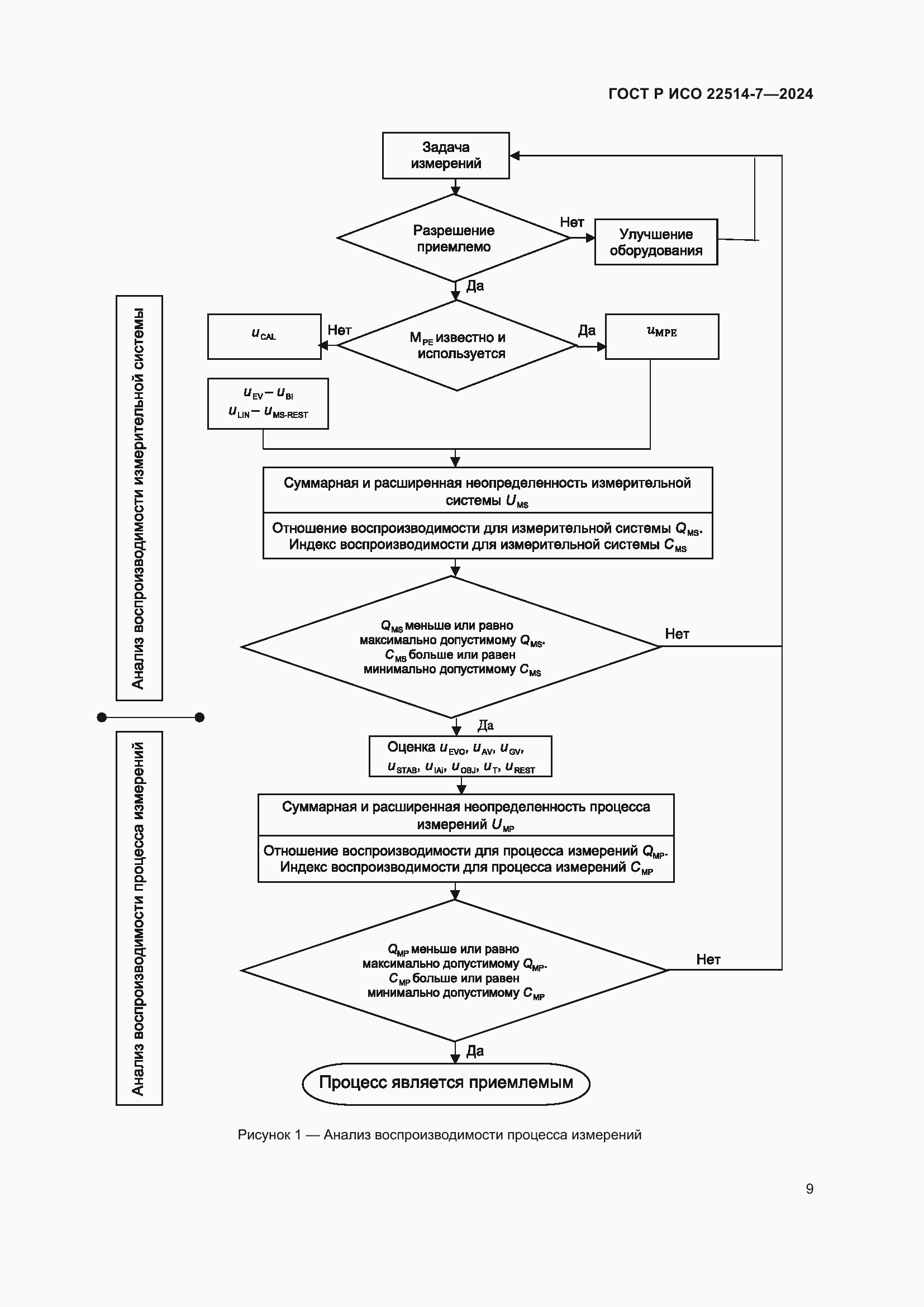
В настоящем стандарте установлена процедура валидации измерительной системы и процесса измерений на соответствие установленной метрологической задачи с рекомендованным критерием приемки. Настоящий стандарт разработан в первую очередь для простых одномерных процессов измерений, для которых известно, что неопределенность метода и установленных требований мала по сравнению с неопределенностью выполнения измерений. Настоящий стандарт также может быть использован в похожих ситуациях, когда измеряемую величину используют для оценки воспроизводимости или пригодности процесса измерений, но его не следует применять в случае сложных геометрических измерений, таких как измерение текстуры поверхности и положения объекта, когда необходимо использовать несколько точек измерения или одновременные измерения в нескольких направлениях
Связи и замены
Заменяющий:
-
Взамен:
ГОСТ Р ИСО 22514-7-2014
Описание стандарта
ГОСТ Р ИСО 22514-7-2024 Статистические методы. Управление процессами. Часть 7. Воспроизводимость процессов измерений
Страницы стандарта

















































