ГОСТ Р ИСО 7870-4-2023 Статистические методы. Контрольные карты. Часть 4. Карты кумулятивных сумм
ГОСТ Р ИСО
Скачать ГОСТ в PDF или DOC бесплатно
Основная информация
Обозначение:
ГОСТ Р ИСО 7870-4-2023
Статус:
Действует
Тип:
ГОСТ Р ИСО
Название русское:
Статистические методы. Контрольные карты. Часть 4. Карты кумулятивных сумм
Название английское:
Statistical methods. Control charts. Part 4. Cumulative sum charts
Даты и сроки
Дата издания:
10-19-23
Дата введения в действие:
03-01-24
Дата завершения срока действия:
-
Применение и описание
Область и условия применения:
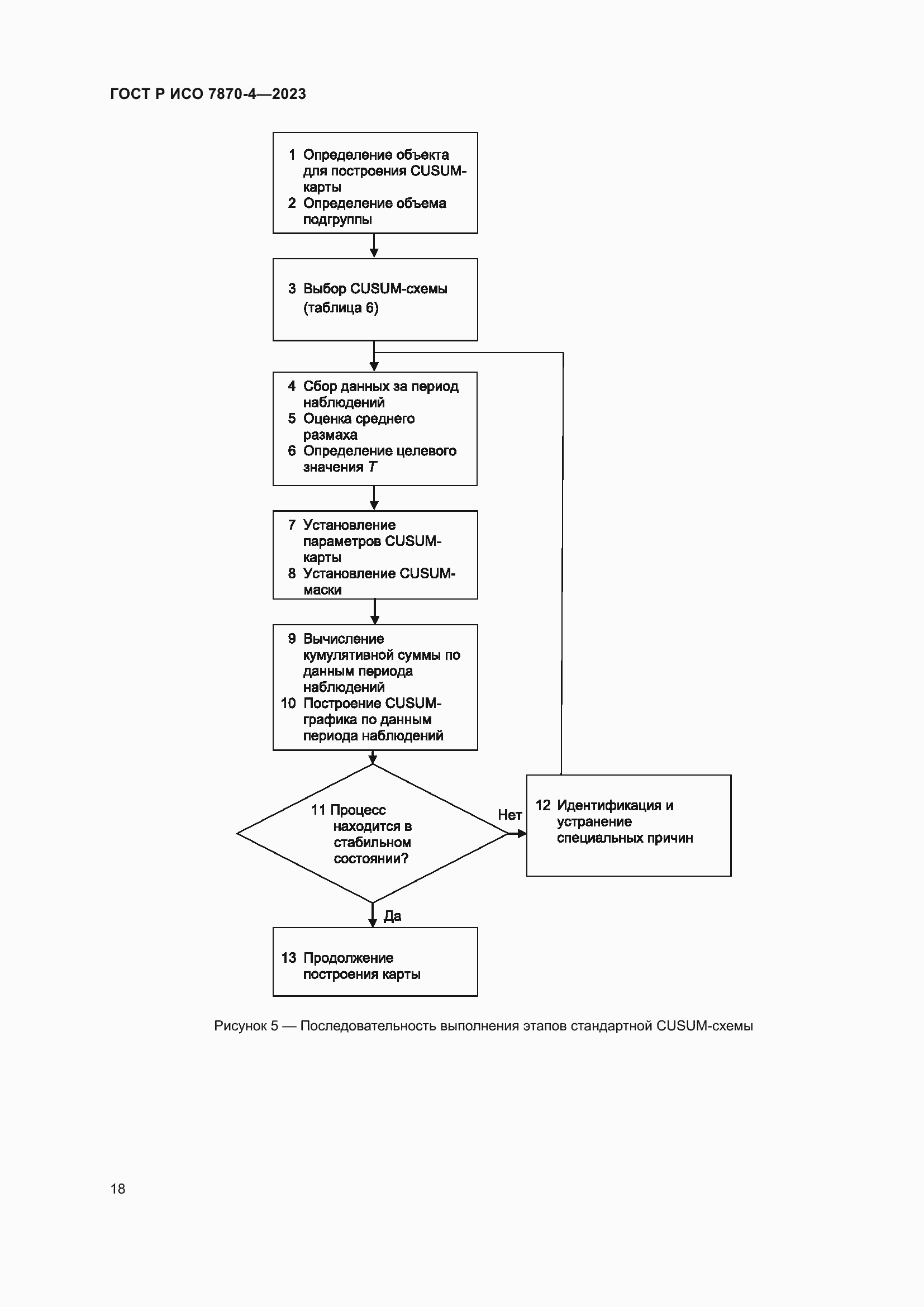
В настоящем стандарте установлены статистические процедуры определения кумулятивной суммы (CUSUM) для контроля процесса и качества продукции с использованием количественных и альтернативных данных. В настоящем стандарте установлены общие методы принятия решений, использующие кумулятивную сумму (CUSUM) для мониторинга, контроля, управления и ретроспективного анализа
Связи и замены
Заменяющий:
-
Взамен:
ГОСТ Р ИСО 7870-4-2013
Описание стандарта
ГОСТ Р ИСО 7870-4-2023 Статистические методы. Контрольные карты. Часть 4. Карты кумулятивных сумм
Страницы стандарта















































